Vous pouvez afficher les visualisations des effets média par le biais des classes MediaSummary et MediaEffects. Chacune d'elles comporte différents graphiques qui affichent les métriques média par canal. Vous pouvez ainsi créer des graphiques personnalisés qui ne sont pas disponibles dans la sortie HTML standard. Par exemple, vous pouvez représenter des canaux spécifiques sous forme graphique, modifier ou supprimer l'intervalle crédible, ajouter une diminution de l'adstock et ajouter des courbes de saturation de Hill.
Sous la classe MediaSummary, vous pouvez générer les graphiques suivants :
- Graphique en aires des contributions
- Graphique à points des contributions
- Graphique en cascade des contributions
- Graphique à secteurs des contributions
- Dépenses vs contribution
- ROI par canal
- ROI vs efficacité
- ROI vs ROI marginal
Sous la classe MediaEffects, vous pouvez tracer les courbes suivantes :
Graphique en aires des contributions
Le graphique en aires des contributions indique la contribution de chaque canal marketing au résultat total (revenus ou KPI) dans le temps sous la forme d'aires empilées. La hauteur de chaque bande de couleur à un moment donné représente la contribution du canal en question. La hauteur totale de toutes les bandes à un moment donné représente le résultat total. Les variations d'épaisseur des bandes dans le temps indiquent des changements dans la contribution d'un canal.
Exécutez la commande suivante pour générer le graphique en aires des contributions pour les canaux :
media_summary.plot_channel_contribution_area_chart()
Exemple de résultat :
Graphique à points des contributions
Le graphique à points des contributions indique le rang relatif de la contribution de chaque canal, y compris la référence, en fonction du résultat incrémentiel sur la durée. Chaque ligne représente un canal, et sa position verticale à un moment donné indique son rang. Le rang 1 indique la contribution la plus élevée. Les lignes croissantes indiquent une amélioration du rang, tandis que les lignes décroissantes indiquent une dégradation du rang. Les lignes qui se croisent mettent en évidence les changements de performances relatives entre les canaux. Les rangs peuvent être affichés chaque semaine ou à la fin de chaque trimestre.
Exécutez la commande suivante pour générer le graphique à points des contributions pour les canaux :
media_summary.plot_channel_contribution_bump_chart()
Exemple de résultat :
Graphique en cascade des contributions
Le graphique en cascade des contributions indique aux utilisateurs la contribution de chaque canal au montant total des revenus incrémentaux ou au KPI. La référence indique le montant des revenus ou le KPI sans aucun effet média.
Exécutez la commande suivante pour générer le graphique en cascade des contributions :
media_summary.plot_contribution_waterfall_chart()
Exemple de résultat :
Graphique à secteurs des contributions
Vous pouvez consulter un graphique à secteurs représentant la contribution de l'ensemble des canaux aux revenus incrémentaux ou au KPI, comparée à la référence sans aucun effet média.
Exécutez la commande suivante pour générer le graphique à secteurs des contributions :
media_summary.plot_contribution_pie_chart()
Exemple de résultat :
Dépenses vs contribution
Le graphique "Dépenses vs contribution" compare les dépenses et les revenus incrémentaux ou le KPI en indiquant leur répartition entre les canaux. Cette visualisation montre le pourcentage des dépenses média utilisées par chaque canal et le pourcentage de chaque canal contribuant au total des revenus incrémentaux ou du KPI. 100 % des revenus (ou du KPI) correspondent au total des revenus incrémentaux (ou du KPI) générés par le média, sans tenir compte de la référence. Enfin, la barre verte indique le retour sur investissement (ROI) de chaque canal.
Exécutez la commande suivante pour représenter les dépenses vs les contributions sous forme graphique :
media_summary.plot_spend_vs_contribution()
Exemple de résultat :
ROI par canal
Comparer le retour sur investissement (ROI) entre les différents canaux vous aide à comprendre l'impact des dépenses sur les revenus dans chaque canal. Le ROI correspond aux revenus générés par euro dépensé. Ce graphique montre l'intervalle crédible.
Exécutez la commande suivante pour représenter le ROI par canal sous forme graphique :
media_summary.plot_roi_bar_chart()Exemple de résultat :
Vous pouvez également supprimer l'intervalle crédible (
ci) ou le remplacer par un autre.L'exemple suivant montre comment supprimer l'intervalle crédible :
media_summary.plot_roi_bar_chart(include_ci=False)Exemple de résultat :
Si vos données contiennent un type de KPI non lié aux revenus avec une valeur d'unité monétaire inconnue, vous pouvez comparer le coût par KPI incrémental (CPKI) à la place.
Exécutez la commande suivante pour représenter le CPKI sous forme graphique :
media_summary.plot_cpik()
ROI vs efficacité
Vous pouvez comparer le retour sur investissement (ROI) de chaque canal à son efficacité en générant un graphique "ROI vs efficacité". L'efficacité est mesurée selon le montant des revenus incrémentaux générés par unité média. Pour ce graphique, la taille de chaque canal correspond au niveau de dépenses. Plus le cercle est grand, plus les dépenses sur le canal étaient élevées.
Exécutez la commande suivante pour générer le graphique "ROI vs efficacité" :
media_summary.plot_roi_vs_effectiveness()Exemple de résultat :
Vous pouvez également personnaliser les canaux à comparer et choisir de ne pas représenter les différences de taille.
Exécutez la commande suivante pour désactiver les différences de taille :
media_summary.plot_roi_vs_effectiveness(disable_size=True)Exemple de résultat :
ROI vs ROI marginal
Vous pouvez comparer le retour sur investissement (ROI) au retour sur investissement marginal (ROIm), où le ROIm correspond au retour sur investissement d'une unité supplémentaire dépensée. La taille du cercle correspond au montant dépensé sur le canal. Plus la dépense est importante, plus le cercle est grand.
Exécutez la commande suivante pour générer le graphique "ROI vs ROIm :
media_summary.plot_roi_vs_mroi()Exemple de résultat :
Vous pouvez sélectionner les canaux spécifiques à visualiser et choisir d'afficher des axes ROI et ROIm de même taille. Vous pouvez également désactiver les différences de taille.
L'exemple de commande suivant sélectionne des canaux spécifiques et définit les axes comme égaux :
media_summary.plot_roi_vs_mroi( selected_channels=["Channel1", "Channel4"], equal_axes=True )Exemple de résultat :
Courbes de réponse
Les courbes de réponse indiquent votre niveau de dépenses actuel et le moment où vous commencez à constater une diminution du retour sur investissement par canal.
Vous pouvez afficher les courbes de réponse de chaque canal ensemble dans un graphique ou de manière indépendante. La zone ombrée du graphique indique les intervalles crédibles, tandis que le point représente les dépenses actuelles.
Pour afficher les courbes de réponse dans des graphiques indépendants :
media_effects = visualizer.MediaEffects(mmm) media_effects.plot_response_curves()Exemple de résultat (cliquez sur l'image pour l'agrandir) :

Pour afficher les courbes ensemble dans un graphique et masquer les intervalles crédibles :
media_effects = visualizer.MediaEffects(mmm) media_effects.plot_response_curves( plot_separately=False, include_ci=False )Exemple de résultat :
Pour n'afficher les courbes de réponse que pour les principaux canaux en fonction des dépenses :
media_effects = visualizer.MediaEffects(mmm) media_effects.plot_response_curves( plot_separately=False, num_channels_displayed=1 )Exemple de résultat :
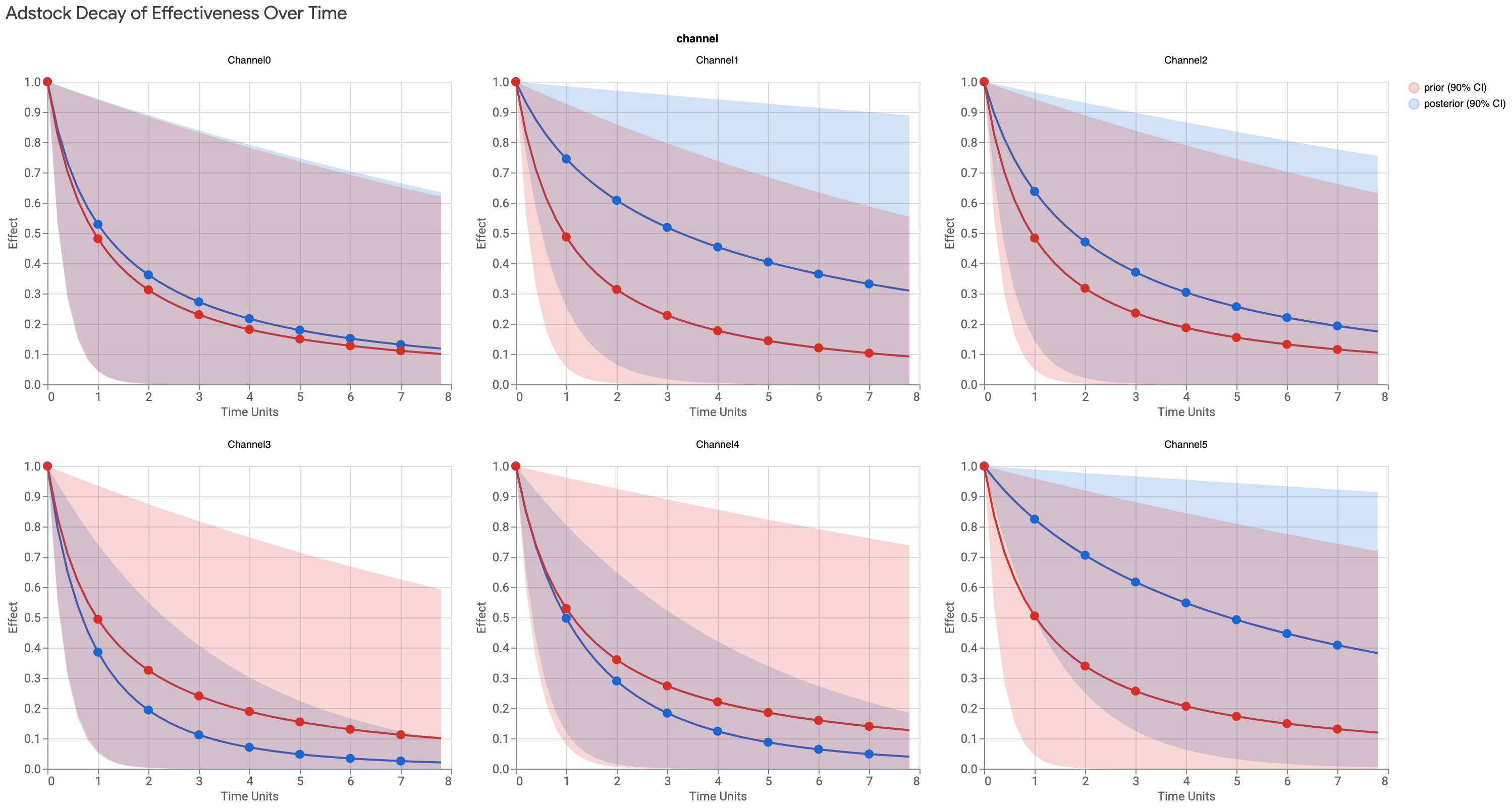
Diminution de l'adstock
La visualisation de la diminution de l'adstock montre le taux de diminution des effets média (les courbes de diminution linéaire de l'adstock utilisées par Meridian ont un effet maximal le premier jour). Cette méthode tient compte de l'impact d'une publicité sur un consommateur même après sa diffusion.
Si la valeur a posteriori est supérieure à la valeur a priori, les effets de la diffusion d'une annonce sur ce canal média durent plus longtemps que prévu.
Les unités de temps affichées sont limitées à la valeur max_lag, qui est définie sur 8 unités de temps dans l'exemple de résultat suivant. Il est généralement défini sur "Semaines", mais vous pouvez aussi utiliser "Jours".
Exécutez la commande suivante pour représenter la diminution de l'adstock sous forme graphique :
media_effects.plot_adstock_decay()
Exemple de résultat (cliquez sur l'image pour l'agrandir) :

Courbes de saturation de Hill
Les courbes de saturation de Hill montrent le bénéfice décroissant des impressions d'annonces sur un consommateur. Le modèle utilise une courbe en forme de C pour montrer la diminution de l'efficacité (ou saturation). Dans l'exemple suivant, l'axe Y montre l'efficacité relative d'une diffusion illimitée des annonces. L'axe X indique le nombre d'impressions par personne, où une impression correspond à chaque fois qu'un utilisateur voit l'annonce. Cette combinaison indique le degré de saturation de chaque canal média.
Ce graphique affiche également l'histogramme des données, avec le nombre d'annonces par personne diffusées sur toutes les périodes et les zones géographiques disponibles.
Exécutez la commande suivante pour représenter les courbes de saturation de Hill sous forme graphique :
media_effects.plot_hill_curves()
Exemple de résultat (cliquez sur l'image pour l'agrandir) :
