Plotar as visualizações de mídia

É possível conferir as visualizações dos efeitos de mídia nas classes MediaSummary e MediaEffects. Cada uma tem gráficos diferentes para mostrar as métricas de mídia por canal. Com as visualizações, é possível criar gráficos personalizados que não estão disponíveis na saída HTML padrão. Por exemplo, é possível criar gráficos de canais específicos, mudar ou excluir o intervalo de credibilidade e adicionar curvas de decaimento de Adstock e de saturação de Hill.

Na classe MediaSummary, é possível criar os seguintes gráficos:

Na classe MediaEffects, é possível plotar as seguintes curvas:

Gráfico de área de contribuição

O gráfico de área de contribuição mostra a contribuição de cada canal de marketing para o resultado total (receita ou KPI) ao longo do tempo como uma área empilhada. A altura de cada faixa colorida em um momento específico representa a contribuição do canal. A altura total de todas as faixas em um momento específico representa o resultado total. As mudanças na espessura da faixa ao longo do tempo indicam mudanças na contribuição de um canal.

Execute o comando a seguir para criar o gráfico de área de contribuição do canal:

media_summary.plot_channel_contribution_area_chart()

Exemplo de resultado:

Gráfico de área de contribuição

Gráfico de aumento de contribuição

O gráfico de aumento de contribuição ilustra a classificação relativa da contribuição de cada canal, incluindo o valor de referência, com base no resultado incremental ao longo do tempo. Cada linha representa um canal, e a posição vertical dele em um determinado momento indica a classificação. A classificação 1 indica a maior contribuição. As linhas que sobem mostram uma classificação melhor, enquanto as linhas que descem indicam uma classificação em declínio. As linhas cruzadas destacam as mudanças na performance relativa entre os canais. As classificações podem ser mostradas semanalmente ou ao fim de cada trimestre.

Execute o comando a seguir para criar o gráfico de aumento de contribuição do canal:

media_summary.plot_channel_contribution_bump_chart()

Exemplo de resultado:

Gráfico de aumento de contribuição

Gráfico de cascata de contribuição

Ele mostra aos usuários quanto cada canal contribuiu para o valor total da receita incremental ou do KPI. O valor de referência apresenta a receita ou o KPI sem nenhum efeito de mídia.

Execute o comando a seguir para criar o gráfico de cascata de contribuição:

media_summary.plot_contribution_waterfall_chart()

Exemplo de resultado:

Gráfico de cascata de contribuição

Gráfico de pizza de contribuição

É possível conferir uma representação em gráfico de pizza mostrando a contribuição da receita incremental ou do KPI em todos os canais, comparada ao valor de referência sem efeitos de mídia.

Execute o comando a seguir para criar o gráfico:

media_summary.plot_contribution_pie_chart()

Exemplo de resultado:

Gráfico de pizza de contribuição

Gasto x contribuição

O gráfico de gasto x contribuição compara os gastos e a divisão de receita incremental ou KPI entre os canais. Essa visualização mostra a porcentagem do gasto de mídia usada por canal e a contribuição percentual de cada canal para o KPI ou a receita incremental total. 100% da receita (ou KPI) é a receita incremental (ou KPI) total da mídia, sem incluir o valor de referência. Por fim, a barra verde destaca o retorno do investimento (ROI) de cada canal.

Execute o comando a seguir para criar o gráfico de gasto x contribuição:

media_summary.plot_spend_vs_contribution()

Exemplo de resultado:

Gráfico de barras de contribuição de gastos x receita

ROI por canal

Comparar o retorno do investimento (ROI) entre os canais ajuda a entender como os gastos em cada canal afetaram a receita. O ROI é calculado de acordo com a receita por real gasto. Isso aparece no gráfico, mostrando o intervalo de credibilidade.

  • Execute o comando a seguir para criar o gráfico:

    media_summary.plot_roi_bar_chart()
    

    Exemplo de resultado:

    Gráfico de barras do ROI por canal

  • Também é possível remover o intervalo de credibilidade (ci) ou usar um valor diferente.

    O exemplo a seguir mostra como remover o intervalo de credibilidade:

    media_summary.plot_roi_bar_chart(include_ci=False)
    

    Exemplo de resultado:

    Gráfico de ROI por canal sem um intervalo de credibilidade

Se os dados tiverem um tipo de KPI sem receita e uma unidade monetária desconhecida, compare o custo por KPI incremental (CPIK, na sigla em inglês).

  • Execute o comando a seguir para criar o gráfico:

    media_summary.plot_cpik()
    

ROI x eficácia

Crie esse gráfico para comparar o ROI de cada canal com a eficácia, que é medida pela receita incremental gerada por unidade de mídia. Nesse gráfico, o tamanho do canal corresponde ao nível de gasto. Quanto maior o círculo, maior o gasto no canal.

  • Execute o comando a seguir para criar o gráfico:

    media_summary.plot_roi_vs_effectiveness()
    

    Exemplo de resultado:

    Gráfico de ROI x eficácia com círculos de tamanhos diferentes

  • Também é possível personalizar os canais que serão comparados e criar o gráfico sem as diferenças de tamanho.

    Execute o comando a seguir para desativar as diferenças de tamanho:

    media_summary.plot_roi_vs_effectiveness(disable_size=True)
    

    Exemplo de resultado:

    Gráfico de ROI x eficácia com círculos do mesmo tamanho

ROI comum x ROI marginal

É possível comparar o ROI comum e o retorno do investimento marginal (mROI), que representa o ROI de uma unidade extra gasta. O tamanho do círculo corresponde ao valor gasto no canal. Quanto maior o gasto, maior o círculo.

  • Execute o comando a seguir para criar o gráfico:

    media_summary.plot_roi_vs_mroi()
    

    Exemplo de resultado:

    Gráfico de ROI comum x ROI marginal

  • Você pode selecionar os canais específicos para acessar e mostrar eixos de ROI e mROI com tamanhos iguais, além de desativar as diferenças de tamanho.

    O exemplo de comando a seguir seleciona canais específicos e define os eixos como iguais:

    media_summary.plot_roi_vs_mroi(
        selected_channels=["Channel1", "Channel4"],
        equal_axes=True
    )
    

    Exemplo de resultado:

    Gráfico de ROI comum x ROI marginal para canais selecionados

Curvas de resposta

Elas mostram seu nível de gasto atual e onde começam a surgir retornos decrescentes no gasto por canal.

É possível conferir as curvas de resposta de cada canal juntas em um só gráfico ou plotadas de forma independente. A área sombreada do gráfico mostra os intervalos de credibilidade, enquanto o ponto indica o gasto atual.

  • Para ver curvas de resposta em gráficos independentes:

    media_effects = visualizer.MediaEffects(mmm)
    media_effects.plot_response_curves()
    

    Exemplo de resultado: (clique na imagem para ampliar)

    response-curves-separately

  • Para ver as curvas juntas em um gráfico e ocultar os intervalos de credibilidade:

    media_effects = visualizer.MediaEffects(mmm)
    media_effects.plot_response_curves(
        plot_separately=False,
        include_ci=False
    )
    

    Exemplo de resultado:

    Curvas de resposta plotadas juntas

  • Para ver somente as curvas de resposta dos principais canais com base no gasto:

    media_effects = visualizer.MediaEffects(mmm)
    media_effects.plot_response_curves(
        plot_separately=False,
        num_channels_displayed=1
    )
    

    Exemplo de resultado:

    Curva de resposta do principal canal de marketing

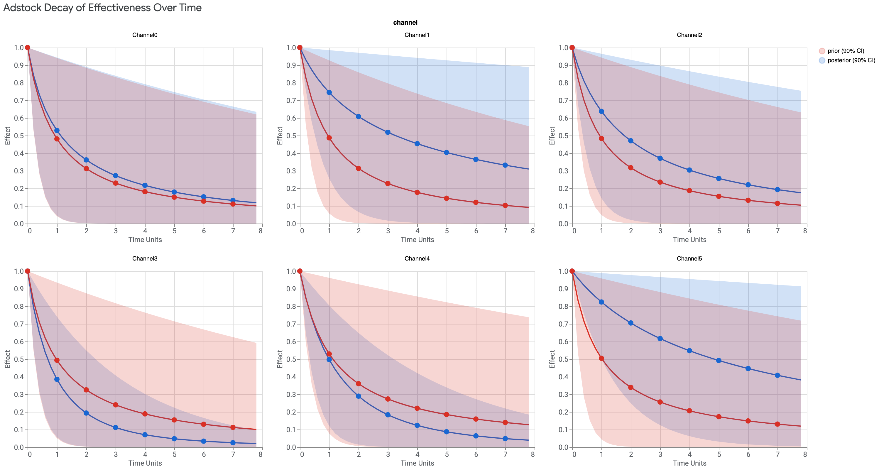
Decaimento de Adstock

A visualização do decaimento de Adstock mostra a taxa de decaimento dos efeitos de mídia com as curvas de decaimento monotônico que o Meridian usa, tendo o efeito máximo no primeiro dia. Esse método considera o impacto de um anúncio no consumidor, mesmo depois que ele é veiculado.

Se a distribuição a posteriori for maior que a distribuição a priori, os efeitos da veiculação do anúncio no canal de mídia vão durar mais do que o esperado.

As unidades de tempo mostradas são limitadas ao valor max_lag, que é definido como 8 unidades de tempo no exemplo de resultado a seguir. Normalmente, esse valor é definido como semanas, mas você pode usar dias.

Execute o comando a seguir para plotar o decaimento de Adstock:

media_effects.plot_adstock_decay()

Exemplo de resultado: (clique na imagem para ampliar)

Curvas de saturação de Hill

As curvas de saturação de Hill mostram os retornos decrescentes das impressões de anúncios em um consumidor. O modelo usa uma curva em forma de C para mostrar a eficácia reduzida, ou saturação. No exemplo a seguir, o eixo Y mostra a eficácia relativa da veiculação de anúncios infinitos. O eixo X mostra as impressões per capita, em que uma impressão é qualquer momento em que um cliente vê o anúncio. Essa combinação mostra o nível de saturação de cada canal de mídia.

Esse gráfico também mostra o histograma dos dados, com a quantidade de anúncios veiculados per capita em relação a todos os períodos e regiões geográficas disponíveis.

Execute o comando a seguir para plotar as curvas de saturação de Hill:

media_effects.plot_hill_curves()

Exemplo de resultado: (clique na imagem para ampliar)