Cómo generar visualizaciones de medios

Puedes visualizar los efectos de los medios a través de las clases MediaSummary y MediaEffects. Cada una de estas opciones incluye diferentes gráficos para representar las métricas de medios por canal. Además, te permiten crear gráficos personalizados que no están disponibles en el informe HTML estándar. Por ejemplo, puedes generar gráficos de canales específicos, cambiar o borrar el intervalo creíble, y agregar las curvas de decaimiento de Adstock y de saturación de Hill.

En la clase MediaSummary, puedes generar los siguientes gráficos:

En la clase MediaEffects, puedes graficar las siguientes curvas:

Gráfico de áreas de contribuciones

El gráfico de áreas de contribuciones muestra la contribución de cada canal de distribución al resultado total (ingresos o KPI) a lo largo del tiempo como un área apilada. La altura de cada banda de color en un momento específico representa la contribución de ese canal. La altura total de todas las bandas en un momento determinado representa el resultado total. Los cambios en el grosor de las bandas a lo largo del tiempo indican cambios en la contribución de un canal.

Ejecuta el siguiente comando para trazar el gráfico de áreas de contribuciones de los canales:

media_summary.plot_channel_contribution_area_chart()

Gráfico de ejemplo:

Gráfico de áreas de contribuciones

Gráfico de ranking de contribuciones

El gráfico de ranking de contribuciones ilustra la clasificación relativa de la contribución de cada canal, incluido el modelo de referencia, en función del resultado incremental a lo largo del tiempo. Cada línea representa un canal, y su posición vertical en un momento determinado indica su clasificación. El nivel 1 indica la contribución más alta. Las líneas que suben muestran una mejora en la clasificación, mientras que las que bajan indican una disminución. Las líneas que se cruzan destacan los cambios en el rendimiento relativo entre los canales. Las clasificaciones se pueden mostrar semanalmente o al final de cada trimestre.

Ejecuta el siguiente comando para trazar el gráfico de ranking de contribuciones de los canales:

media_summary.plot_channel_contribution_bump_chart()

Gráfico de ejemplo:

Gráfico de ranking de contribuciones

Gráfico de cascada de contribuciones

El gráfico de cascada de contribuciones muestra a los usuarios cuánto contribuyó cada canal al importe total de los ingresos o el KPI incrementales. El valor de referencia muestra el importe de los ingresos o el KPI sin ningún efecto de los medios.

Ejecuta el siguiente comando para generar el gráfico de cascada de contribuciones:

media_summary.plot_contribution_waterfall_chart()

Gráfico de ejemplo:

Gráfico de cascada de contribuciones

Gráfico circular de contribuciones

Puedes ver un gráfico circular que represente la contribución de los ingresos o el KPI incrementales proveniente de todos los canales, en comparación con valores de referencia sin ningún efecto de los medios.

Ejecuta el siguiente comando para generar el gráfico circular de contribuciones:

media_summary.plot_contribution_pie_chart()

Gráfico de ejemplo:

Gráfico circular de contribuciones

Comparación entre la inversión y la contribución

El gráfico comparativo de la inversión y la contribución muestra la división de la inversión y de los ingresos o el KPI incrementales entre los diferentes canales. Esta visualización muestra el porcentaje de inversión en los medios utilizado por cada canal y el porcentaje que cada canal contribuyó a los ingresos o al KPI incrementales totales. El 100% de los ingresos (o del KPI) corresponde a los ingresos (o al KPI) incrementales totales de los medios, sin incluir el modelo de referencia. Por último, la barra verde destaca el retorno de la inversión (ROI) de cada canal.

Ejecuta el siguiente comando para generar el gráfico comparativo de la inversión y la contribución:

media_summary.plot_spend_vs_contribution()

Gráfico de ejemplo:

Gráfico de barras de comparación entre la inversión y la contribución de ingresos

ROI por canal

Comparar el retorno de la inversión (ROI) en los diferentes canales te ayuda a comprender cómo la inversión en cada canal afectó los ingresos. El ROI se calcula en función de los ingresos por dólar invertido. Esto se grafica con un intervalo creíble.

  • Ejecuta el siguiente comando para generar el gráfico del ROI por canal:

    media_summary.plot_roi_bar_chart()
    

    Gráfico de ejemplo:

    Gráfico de barras del ROI por canal

  • También puedes quitar o actualizar el intervalo creíble (ci).

    En el siguiente ejemplo, se muestra cómo quitar el intervalo creíble:

    media_summary.plot_roi_bar_chart(include_ci=False)
    

    Gráfico de ejemplo:

    Gráfico del ROI por canal sin un intervalo creíble

Si tus datos contienen un tipo de KPI que no es de ingresos con un valor de unidad monetaria desconocido, puedes comparar el costo por KPI incremental (CPIK) en su lugar.

  • Ejecuta el siguiente comando para generar el gráfico del CPIK por canal:

    media_summary.plot_cpik()
    

Comparación entre el ROI y la efectividad

Puedes comparar el retorno de la inversión (ROI) de cada canal con su efectividad generando un gráfico comparativo del ROI y la efectividad. La efectividad se mide en función de la cantidad de ingresos incrementales obtenidos por unidad de medios. En este gráfico, el tamaño de cada canal se asocia al nivel de inversión. Cuanto más grande sea el círculo, mayor es la inversión en el canal.

  • Ejecuta el siguiente comando para generar el gráfico comparativo del ROI y la efectividad:

    media_summary.plot_roi_vs_effectiveness()
    

    Gráfico de ejemplo:

    Gráfico comparativo del ROI y la efectividad con círculos de diferentes tamaños

  • También puedes personalizar los canales que deseas comparar y optar por generar gráficos sin las diferencias de tamaño.

    Ejecuta el siguiente comando para inhabilitar las diferencias de tamaño:

    media_summary.plot_roi_vs_effectiveness(disable_size=True)
    

    Gráfico de ejemplo:

    Gráfico comparativo del ROI y la efectividad con círculos del mismo tamaño

Comparación entre el ROI y el ROI marginal

Puedes comparar el retorno de la inversión (ROI) con el retorno de la inversión marginal (mROI), donde el mROI es el retorno de la inversión de una unidad adicional invertida. El tamaño del círculo refleja el importe invertido en el canal. Cuanto mayor sea la inversión, más grande es el círculo.

  • Ejecuta el siguiente comando para generar el gráfico comparativo del ROI y el mROI:

    media_summary.plot_roi_vs_mroi()
    

    Gráfico de ejemplo:

    Gráfico comparativo del ROI y el ROI marginal

  • Puedes seleccionar los canales específicos que deseas ver, y optar por mostrar ejes de ROI y mROI del mismo tamaño. También puedes inhabilitar las diferencias de tamaño.

    En el siguiente ejemplo, el comando utilizado permite seleccionar canales específicos y establece ejes del mismo tamaño:

    media_summary.plot_roi_vs_mroi(
        selected_channels=["Channel1", "Channel4"],
        equal_axes=True
    )
    

    Gráfico de ejemplo:

    Gráfico comparativo del ROI y el ROI marginal para los canales seleccionados

Curvas de respuesta

Las curvas de respuesta muestran tu nivel de inversión actual y en qué punto comienzan a disminuir los retornos de la inversión por canal.

Puedes ver las curvas de respuesta de cada canal juntas en un mismo gráfico o por separado. El área sombreada del gráfico refleja los intervalos creíbles, mientras que el punto indica la inversión actual.

  • Para ver las curvas de respuesta en gráficos aparte, haz lo siguiente:

    media_effects = visualizer.MediaEffects(mmm)
    media_effects.plot_response_curves()
    

    Gráfico de ejemplo: (haz clic en la imagen para ampliarla)

    response-curves-separately

  • Para ver las curvas juntas en un mismo gráfico y ocultar los intervalos creíbles, haz lo siguiente:

    media_effects = visualizer.MediaEffects(mmm)
    media_effects.plot_response_curves(
        plot_separately=False,
        include_ci=False
    )
    

    Gráfico de ejemplo:

    Curvas de respuesta juntas en un mismo gráfico

  • Para ver solo las curvas de respuesta de los principales canales en función de la inversión, haz lo siguiente:

    media_effects = visualizer.MediaEffects(mmm)
    media_effects.plot_response_curves(
        plot_separately=False,
        num_channels_displayed=1
    )
    

    Gráfico de ejemplo:

    Curva de respuesta de los principales canales de marketing

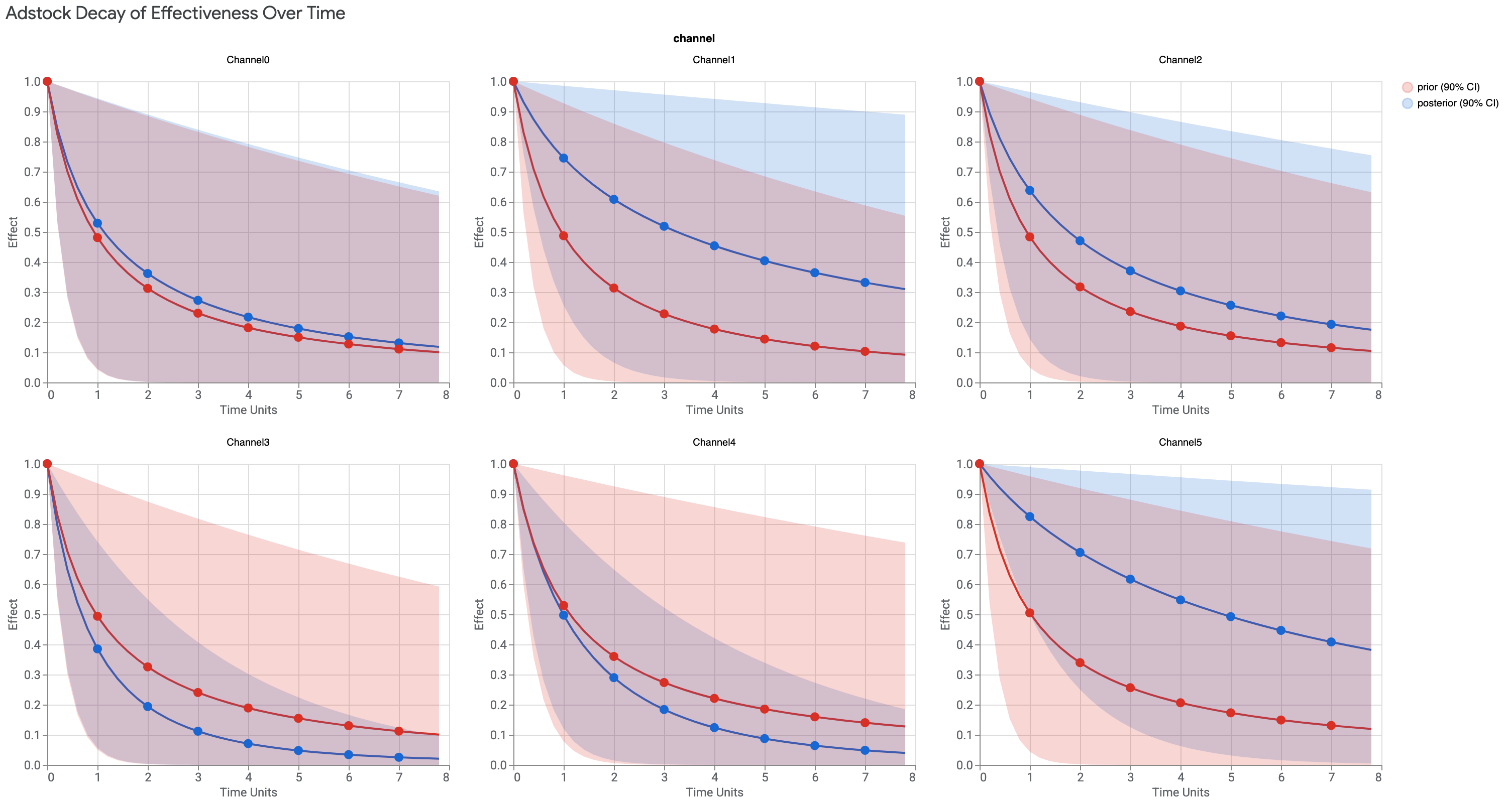
Curvas de decaimiento de Adstock

La visualización del decaimiento de Adstock muestra la tasa de decaimiento de los efectos de los medios, donde el efecto máximo de las curvas de decaimiento monótono de Adstock que utiliza Meridian se produce el primer día. Este método toma en cuenta el impacto que tiene un anuncio en un consumidor incluso después de que lo vio.

Si la distribución a posteriori es más alta que aquella a priori, significa que los efectos de publicar un anuncio en ese canal de medios duran más de lo que se suponía.

Las unidades de tiempo mostradas se limitan al valor max_lag, que se establece en 8 unidades de tiempo en el siguiente gráfico de ejemplo. Se suele establecer en semanas, pero puedes usar días en su lugar.

Ejecuta el siguiente comando para generar el gráfico del decaimiento de Adstock:

media_effects.plot_adstock_decay()

Gráfico de ejemplo: (haz clic en la imagen para ampliarla)

Curvas de saturación de Hill

Las curvas de saturación de Hill muestran la disminución en los retornos de las impresiones de anuncios relacionadas con un consumidor. El modelo usa una curva en forma de C para mostrar la reducción en la efectividad o la saturación. En el siguiente ejemplo, el eje Y muestra la efectividad relativa de mostrar anuncios infinitos. El eje X muestra las impresiones per cápita, donde una impresión corresponde a cada vez que un cliente ve el anuncio. Esta combinación muestra qué tan saturado está cada canal de medios.

Este gráfico también muestra el histograma de los datos, con la cantidad de anuncios per cápita que se publicaron en todos los períodos y las ubicaciones geográficas disponibles.

Ejecuta el siguiente comando para generar el gráfico de las curvas de saturación de Hill:

media_effects.plot_hill_curves()

Gráfico de ejemplo: (haz clic en la imagen para ampliarla)