Les visualisations vous aident à interpréter l'inférence du modèle et à comprendre les performances des canaux média en fonction du modèle.
Meridian propose plusieurs méthodes pour visualiser les résultats du modèle :
Générez un rapport HTML de deux pages avec une période personnalisée, que vous pouvez exporter vers votre Google Drive.
Générez un récapitulatif des résultats du modèle pour personnaliser vos propres rapports et visualisations, ou pour les exporter dans un autre format. Ces récapitulatifs numériques de vos métriques média vous permettent d'accéder à plus de détails.
Représenter les visualisations du média : celles-ci vous permettent de créer des graphiques personnalisés, dont certains ne sont pas disponibles dans la sortie HTML standard. Par exemple, vous pouvez représenter des canaux spécifiques sous forme graphique, modifier ou supprimer l'intervalle crédible, ajouter une diminution de l'adstock et ajouter des courbes de saturation de Hill.
Graphiques d'ajustement du modèle
Les graphiques d'ajustement du modèle mesurent la qualité d'ajustement statistique et ne sont générés que dans le résultat HTML de deux pages.
Ces graphiques facilitent l'évaluation des performances du modèle et aident à déterminer si le modèle est sous-ajusté.
Exemple de résultat (cliquez sur l'image pour l'agrandir) :

Le graphique Revenus attendus vs revenus réels compare les revenus (ou le KPI) prévus ou attendus aux chiffres réels des revenus (ou du KPI). La ligne dorée indique les revenus sans effets média. Les lignes bleue et verte représentent respectivement les revenus attendus et les revenus réels. (Le revenu attendu correspond à la moyenne a posteriori.) Plus les lignes bleue et verte sont proches, plus le modèle est correctement ajusté.
Le tableau Métriques d'ajustement du modèle affiche les métriques pour tous les types suivants :
Coefficient de détermination : mesurez la variation des données expliquée par le modèle. Plus la valeur est proche de 1, plus le modèle est précis.
Erreur absolue moyenne en pourcentage (EAMP) : mesure la différence moyenne absolue en pourcentage entre la valeur attendue et la valeur réelle. Plus la valeur est proche de 0, plus le modèle est précis.
Erreur absolue moyenne pondérée en pourcentage (EAMPP) : cette mesure est pondérée selon les revenus réels. Les données pondérées sont généralement préférées aux données non pondérées, car elles sont moins influencées par les zones géographiques et les semaines où les revenus sont relativement faibles. Pour en savoir plus, consultez EAMPP.
Les statistiques d'ajustement du modèle peuvent aussi être utiles pour comparer les modèles candidats. Toutefois, n'oubliez pas que les métriques de qualité d'ajustement ne donnent pas une image complète de la qualité d'un modèle pour l'inférence causale. Il est probable que le meilleur modèle dans ce domaine soit différent du meilleur modèle pour la prédiction.
Graphiques de contribution des canaux
Les graphiques de contribution des canaux vous aident à comprendre ce qui a généré vos revenus.
Exemple de résultat (cliquez sur l'image pour l'agrandir) :

Graphiques de référence et de contribution marketing
Les mesures de référence et de contribution marketing sont composées de deux graphiques :
Graphique en cascade sur la contribution : il indique les contributions de chaque canal marketing individuel pour les KPI ou revenus incrémentaux.
Graphique à secteurs sur la contribution (à droite ci-dessus) : il indique le pourcentage total combiné des contributions des canaux marketing par rapport au pourcentage de la contribution de référence au total des revenus (ou du KPI) attendus.
Utilisez ces graphiques pour comprendre l'impact financier global de vos tactiques et stratégies marketing combinées par rapport à la référence.
La référence correspond à ce qui se serait produit, par exemple pour votre marque ou votre gamme de produits, en l'absence de contributions des canaux marketing. Toute entreprise s'attend à réaliser des ventes en l'absence de marketing. Certaines marques en prévoient plus que d'autres en raison de facteurs tels que la reconnaissance de la marque déjà établie et les tendances de la demande saisonnière.
Estimer les revenus ou le KPI de référence vous aidera à mettre en perspective les contributions des médias et à prendre des décisions marketing concrètes. Par exemple, vous pourriez constater que la hausse de vos ventes globales est due à une contribution de 12 % des annonces TV, ce qui peut vous aider à justifier vos dépenses publicitaires et votre plan marketing.
Contribution aux dépenses et aux revenus
Le graphique Contribution aux dépenses et aux revenus indique le pourcentage des dépenses média pour chaque canal et le pourcentage de contribution au total des KPI ou revenus incrémentaux. Les lignes vertes indiquent le retour sur investissement (ROI) de chaque canal, c'est-à-dire l'efficacité des dépenses sur ce canal.
Ce graphique présente une vue d'ensemble de la taille et des performances relatives des canaux. Vous pouvez obtenir des insights plus détaillés à partir des graphiques du ROI et du ROI marginal, et explorer l'optimiseur de budget pour obtenir des recommandations sur la stratégie d'allocation.
Graphiques du ROI
Les graphiques du retour sur investissement (ROI) vous aident à comprendre l'impact de vos activités marketing sur vos objectifs d'entreprise. Le ROI est défini comme le résultat incrémental par euro dépensé. Le CPIK est défini comme le coût par résultat incrémental. Pour en savoir plus, consultez Définition du résultat incrémental.
Si vous générez ces données sous forme de graphique, vous pouvez personnaliser ou désactiver l'intervalle crédible et ajuster la taille des cercles.
Comparer le ROI, le ROI marginal, l'efficacité et le CPIK entre les différents canaux permet d'obtenir une vue globale détaillée des performances des canaux.
Exemple de résultat (cliquez sur l'image pour l'agrandir) :

ROI par canal : compare le ROI entre les canaux.
CPIK par canal : compare le CPIK entre les canaux.
Vous pouvez personnaliser les graphiques ROI par canal et CPIK par canal pour modifier ou supprimer l'intervalle crédible par défaut.
ROI vs efficacité : compare le ROI de chaque canal à son efficacité. L'efficacité est définie comme le revenu incrémental par unité média (impression). Un ROI élevé n'implique pas forcément une efficacité élevée. À l'inverse, des dépenses faibles n'impliquent pas forcément une faible efficacité.
ROI vs ROI marginal : compare le ROI au ROI marginal (ROIm), où celui-ci correspond au retour sur investissement prédictif d'une unité supplémentaire dépensée.
Le ROIm est un indicateur de l'efficacité des dépenses supplémentaires. Par exemple, les canaux qui présentent un ROI élevé, mais un ROIm faible, sont probablement en phase de saturation. Par conséquent, tout investissement supplémentaire ne générera probablement pas le même rendement que les investissements initiaux. À l'inverse, les canaux offrant un ROI et un ROIm élevés sont performants et devraient continuer à générer des rendements élevés avec des dépenses supplémentaires.
Courbes de réponse
Les courbes de réponse vous aident à visualiser les relations de cause à effet entre les activités marketing et les résultats commerciaux. Si vous comprenez les liens historiques entre les efforts marketing et les ventes à l'aide de courbes de réponse, vous pourrez estimer les performances pour différents niveaux de dépenses média.
Si vous représentez ces informations sous forme graphique, vous pourrez les personnaliser en les affichant en tant que graphiques indépendants, les regrouper dans un seul graphique ou n'afficher que les principaux canaux en fonction des dépenses. Vous pouvez également masquer l'intervalle crédible.
Exemple de résultat :
Il s'agit de courbes de réponse agrégées au niveau des canaux, où l'axe x représente les dépenses totales sur toutes les zones géographiques et périodes utilisées pour entraîner le modèle, et l'axe y représente les revenus incrémentaux attendus qui seraient théoriquement générés. Les unités média pour chaque zone géographique et chaque période sont ajustées proportionnellement aux dépenses totales et attribuées en fonction du modèle de diffusion historique dans les zones géographiques et au cours des périodes.
Les courbes de réponse Meridian indiquent votre niveau de dépenses actuel et le moment où vous commencez à constater une diminution du retour sur investissement par canal. Vous disposez ainsi d'un point de vue supplémentaire pour vous aider à réduire le risque de dépenses excessives. Par exemple, si l'un de vos canaux présente un ROI élevé, mais que la courbe de réponse indique qu'il est saturé ou presque saturé (ROI marginal faible, par exemple), vous pouvez envisager de réaffecter une partie de ce budget à un canal performant qui est encore loin d'être saturé.
Il est important d'interpréter judicieusement les courbes de réponse au-delà de la plage des données média historiques disponibles. Imaginons, par exemple, que l'exécution média pour un canal donné soit concentrée à un niveau spécifique pour différentes zones géographiques et périodes. Dans ce cas, la situation n'est pas observée lorsque l'exécution média est nettement supérieure ou inférieure à ce niveau. Au contraire, ces inférences sont basées sur l'extrapolation des relations observées dans la plage disponible au-delà de cette plage.
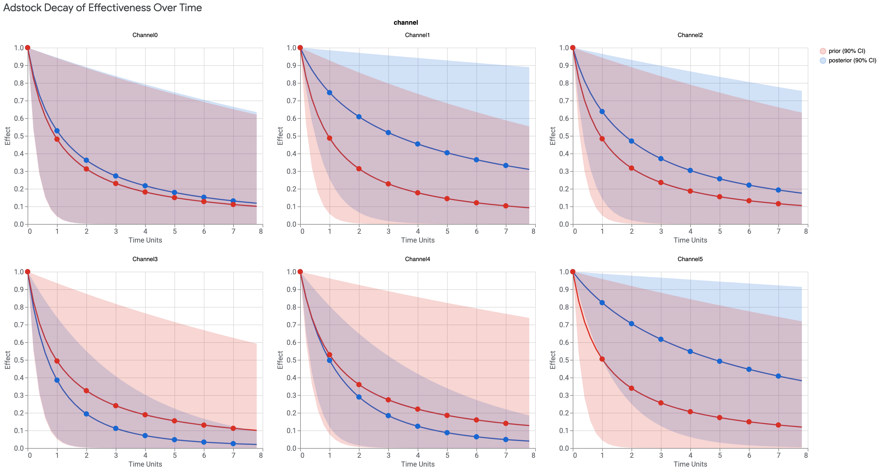
Courbes de diminution de l'adstock
Vous pouvez représenter la diminution de l'adstock sous forme graphique pour mieux la visualiser. Cette visualisation n'est pas incluse dans le résultat HTML de deux pages qui est généré.
Ces courbes montrent le taux de diminution des effets média (la diminution d'adstock monotone utilisée par Meridian a un effet maximal le premier jour). Si la valeur a posteriori est supérieure à la valeur a priori, les effets de la diffusion d'une annonce sur ce canal média durent plus longtemps que prévu.
Exemple de résultat (cliquez sur l'image pour l'agrandir) :

La méthode de diminution de l'adstock tient compte de l'effet différé (report), qui correspond à l'impact différé de la publicité sur les ventes. Les consommateurs n'achètent pas forcément le produit juste après avoir vu l'annonce, ce qui crée un effet différé.
Grâce à ces graphiques, vous pouvez :
comprendre l'impact des données (par rapport à l'a priori) sur l'estimation de Meridian concernant les effets différés ;
comprendre l'impact de la fonction de diminution d'adstock choisie (géométrique ou binomiale) sur l'estimation de Meridian concernant l'effet à plus long terme ;
déterminer s'il est nécessaire d'augmenter ou de diminuer
max_lag;générer des hypothèses pour les stratégies déterminant quand et à quelle fréquence allouer le budget d'un canal sur la durée.
Courbes de saturation de Hill
Vous pouvez représenter la saturation de Hill sous forme graphique pour mieux la visualiser. Cette visualisation n'est pas incluse dans le résultat HTML de deux pages qui est généré.
Ces courbes convergent vers une asymptote de 1 lorsque le nombre d'unités média (souvent des impressions) par personne tend vers l'infini. Elles montrent l'effet des unités média par personne par rapport à cette asymptote. Une courbe de Hill est utilisée pour montrer la saturation (efficacité réduite).
Exemple de résultat (cliquez sur l'image pour l'agrandir) :

La courbe de Hill représente une relation mathématique entre le KPI et le nombre moyen d'unités média hebdomadaires (souvent des impressions) par personne. Une relation non linéaire est supposée capturer des phénomènes de psychologie marketing à un niveau précis, tels que les consommateurs qui voient la même annonce de façon répétée.
Ce graphique affiche également l'histogramme des unités média (comme les impressions) par personne pour toutes les zones géographiques et toutes les périodes. Vous pouvez ainsi visualiser la fréquence et l'ampleur de la sursaturation ou de la sous-saturation de votre exécution média historique, à un niveau précis. N'oubliez pas que les zones géographiques de petite et grande taille sont représentées de manière égale dans cet histogramme. Il peut être utile d'examiner plus en détail vos données brutes pour comprendre ce qui peut générer des valeurs aberrantes ou des tendances particulières.
L'histogramme peut également être utile pour formuler un point de vue éclairé sur la confiance à accorder à l'inférence en différents points de la courbe de Hill. La courbe de Hill est une fonction paramétrique qui permet d'estimer l'effet média au-dessus ou en dessous de la zone où l'exécution média historique est concentrée (également appelée extrapolation). Par exemple, certains canaux sont toujours activés (l'exécution média n'est jamais nulle) et ne comportent donc aucune donnée pour la courbe de Hill à zéro ou presque.
Dans l'idéal, vous devriez utiliser des données plutôt que l'extrapolation paramétrique pour interpréter chaque point de la courbe de réponse décroissante, mais ce n'est pas possible. L'utilisateur doit faire preuve de discernement pour comprendre le degré d'extrapolation inhérent aux résultats et déterminer un niveau acceptable lorsqu'il prend des décisions pour son entreprise. Appliquez un discernement similaire lorsque vous interprétez les courbes de réponse.