Visualisierungen können Ihnen dabei helfen, die Vorhersagen des Modells zu interpretieren und nachzuvollziehen, welche Leistung das Modell für die einzelnen Media-Channels prognostiziert.
In Meridian gibt es mehrere Möglichkeiten, die Ergebnisse des Modells zu visualisieren. Sie können
einen zweiseitigen HTML-Bericht mit einem benutzerdefinierten Zeitraum erstellen, der in Google Drive exportiert werden kann.
eine Zusammenfassung der Ergebnisse des Modells erstellen, um eigene Berichte und Visualisierungen anzupassen oder in ein anderes Format zu exportieren. Über diese numerischen Zusammenfassungen Ihrer Media-Messwerte haben Sie Zugriff auf weitere Details.
Media-Visualisierungen erstellen. Damit lassen sich benutzerdefinierte Diagramme erstellen, die in der Standard-HTML-Ausgabe nicht verfügbar sind. Sie können beispielsweise Daten für bestimmte Channels grafisch darstellen, das glaubwürdige Intervall ändern oder löschen sowie den Adstock-Verfall (Adstock Decay) und Hill-Sättigungskurven hinzufügen.
Diagramme zur Anpassung des Modells
Mit Diagrammen zur Anpassung des Modells wird die statistische Güte der Anpassung gemessen. Sie werden nur als Teil der zweiseitigen HTML-Ausgabe generiert.
Diese Diagramme erleichtern die Beurteilung der Modellleistung und helfen festzustellen, ob das Modell unterangepasst ist.
Beispielausgabe: (Klicken Sie auf das Bild, um es zu vergrößern.)

Im Diagramm Erwarteter im Vergleich zum tatsächlichen Umsatz wird der prognostizierte oder erwartete Umsatz (oder KPI) mit dem tatsächlichen Umsatz (oder KPI) verglichen. Die goldene Linie zeigt den Umsatz ohne Media-Effekte. Die blaue und die grüne Linie stehen jeweils für den erwarteten und den tatsächlichen Umsatz. (Der erwartete Umsatz ist der Posterior-Mittelwert.) Je größer die Übereinstimmung zwischen den blauen und grünen Linien ist, desto besser ist die Modellanpassung.
In der Tabelle Messwerte zur Modellanpassung finden Sie Messwerte für die folgenden Typen:
R-Quadrat: Misst den Anteil der Variation in den Daten, der durch das Modell erklärt wird. Je näher der Wert an 1 liegt, desto genauer ist das Modell.
Durchschnittlicher absoluter prozentualer Fehler (Mean Absolute Percentage Error, MAPE): Misst die durchschnittliche absolute prozentuale Abweichung zwischen den erwarteten und den tatsächlichen Werten. Je näher der Wert an 0 liegt, desto genauer ist das Modell.
Gewichteter durchschnittlicher absoluter prozentualer Fehler (Weighted Mean Absolute Percentage Error, wMAPE): Dieser Messwert wird nach dem tatsächlichen Umsatz gewichtet. Gewichtete Daten werden in der Regel nicht gewichteten Daten vorgezogen, da sie weniger von geografischen Einheiten und Wochen mit relativ geringem Umsatz beeinflusst werden. Weitere Informationen
Statistiken zur Modellanpassung können auch verwendet werden, um Kandidatenmodelle zu vergleichen. Die Messwerte zur Güte der Anpassung vermitteln jedoch kein vollständiges Bild davon, wie gut ein Modell für Kausalanalysen geeignet ist. Es ist wahrscheinlich, dass sich das beste Modell für Kausalanalysen vom besten Modell für Vorhersagen unterscheidet.
Diagramme zu Channel-Beiträgen
Anhand der Diagramme zu Channel-Beiträgen lässt sich nachvollziehen, was den Umsatz beeinflusst hat.
Beispielausgabe: (Klicken Sie auf das Bild, um es zu vergrößern.)

Diagramme für Baseline- und Marketingbeitrag
Für Baseline- und Marketingbeitrag gibt es zwei Diagramme:
Wasserfalldiagramm zum Beitrag: Dieses Diagramm zeigt den zusätzlichen Umsatz oder die KPI-Beiträge für jeden einzelnen Marketing-Channel.
Kreisdiagramm zum Beitrag: Dieses Diagramm (ganz rechts oben) zeigt den gesamten kombinierten prozentualen Beitrag der Marketing-Channels im Vergleich zum prozentualen Beitrag der Baseline zum erwarteten Umsatz oder KPI insgesamt.
Anhand dieser Diagramme können Sie die finanziellen Gesamtauswirkungen Ihrer kombinierten Marketingstrategien und ‑taktiken im Vergleich zur Baseline nachvollziehen.
Die Baseline gibt Aufschluss darüber, was ohne den Beitrag von Marketing-Channels passiert wäre, z. B. für Ihre Marke oder Produktlinie. Jedes Unternehmen erwartet, dass es auch ohne Marketing einen gewissen Umsatz erzielt. Einige Unternehmen rechnen aufgrund von Faktoren wie der bereits etablierten Markenwiedererkennung und saisonalen Nachfragemustern mit mehr Umsatz als andere.
Die Schätzung von Baseline-Umsatz oder ‑KPI kann helfen, Media-Beiträge einzuordnen und umsetzbare Marketingentscheidungen zu treffen. Vielleicht sehen Sie, dass 12 % des Anstiegs Ihres Gesamtumsatzes auf TV-Werbung zurückzuführen sind, was die entsprechenden Werbeausgaben und Ihren Marketingplan legitimieren kann.
Ausgaben- und Umsatzbeitrag
Im Diagramm Ausgaben- und Umsatzbeitrag sehen Sie den prozentualen Anteil der Media-Ausgaben für jeden Channel und den prozentualen Beitrag zum gesamten inkrementellen Umsatz oder KPI. Die grünen Balken zeigen den Return on Investment (ROI) der einzelnen Channels an und geben Aufschluss über die Effizienz der Ausgaben für den jeweiligen Channel.
Dieses Diagramm bietet einen allgemeinen Überblick über die relative Größe und Leistung der einzelnen Channels. Mithilfe von ROI- und Grenz-ROI-Diagrammen erhalten Sie detailliertere Informationen. Der Budgetoptimierer liefert Empfehlungen für die Zuweisungsstrategie.
ROI-Diagramme
Anhand der Diagramme zum Return on Investment (ROI) können Sie nachvollziehen, wie sich Ihre Marketingaktivitäten auf Ihre Geschäftsziele ausgewirkt haben. Der ROI wird als inkrementelles Ergebnis pro ausgegebenem Euro definiert. „CPIK“ steht für „Cost per Incremental KPI“ (Kosten pro inkrementellem KPI). Weitere Informationen
Wenn Sie diese grafisch darstellen, können Sie das glaubwürdige Intervall anpassen oder deaktivieren und die Kreisgrößen anpassen.
Falls Sie den ROI, den Grenz-ROI, die Effektivität und den CPIK kanalübergreifend vergleichen, erhalten Sie einen umfassenden Überblick über die Channelleistung.
Beispielausgabe: (Klicken Sie auf das Bild, um es zu vergrößern.)

ROI nach Channel: Hier wird der ROI zwischen den Channels verglichen.
Kosten pro inkrementellem KPI nach Channel: Hier wird der CPIK zwischen den Channels verglichen.
Sowohl das Diagramm ROI nach Channel als auch das Diagramm CPIK nach Channel können angepasst werden, um das standardmäßige glaubwürdige Intervall zu ändern oder zu entfernen.
ROI im Vergleich zur Effektivität: Hier wird der ROI des jeweiligen Channels mit seiner Effektivität verglichen. Die Effektivität ist definiert als zusätzlicher Umsatz pro Media-Einheit (Impression). Ein hoher ROI bedeutet nicht unbedingt eine hohe Effektivität. Umgekehrt bedeuten niedrige Ausgaben nicht zwangsläufig eine geringe Effektivität.
ROI im Vergleich zum Grenz-ROI: Hier wird der ROI mit dem Grenz-ROI verglichen. Der Grenz-ROI ist der prognostizierte ROI aus einer zusätzlichen Ausgabeneinheit.
Der Grenz-ROI ist ein Indikator für die Effizienz zusätzlicher Ausgaben. Beispielsweise befinden sich Channels mit hohem ROI, aber niedrigem Grenz-ROI vermutlich in der Sättigungsphase. Daher wird mit zusätzlichen Ausgaben wahrscheinlich nicht derselbe Ertrag erzielt wie mit den ursprünglichen Investitionen. Im Gegensatz dazu erzielen Kanäle mit hohem ROI und hohem Grenz-ROI gute Ergebnisse und werden voraussichtlich weiterhin hohe Erträge bei zusätzlichen Ausgaben bringen.
Reaktionskurven
Mithilfe von Reaktionskurven lassen sich die Ursache-Wirkungs-Beziehungen zwischen Marketingaktivitäten und Geschäftsergebnissen visualisieren. Wenn Sie die bisherigen Beziehungen zwischen Marketingmaßnahmen und Umsatz anhand von Reaktionskurven analysieren, können Sie die Leistung für unterschiedliche Media-Ausgabenvolumen schätzen.
Wenn Sie diese Informationen grafisch darstellen, lassen sie sich so anpassen, dass sie entweder als unabhängige Diagramme angezeigt werden, zusammen in einem Diagramm dargestellt werden oder nur die besten Channels basierend auf den Ausgaben angezeigt werden. Sie können das glaubwürdige Intervall auch ausblenden.
Beispielausgabe:
Hier sehen Sie aggregierte Reaktionskurven auf Channelebene. Die X-Achse steht für die Gesamtausgaben für alle geografischen Einheiten und Zeiträume, die zum Trainieren des Modells verwendet werden. Die Y-Achse steht für den erwarteten zusätzlichen Umsatz, der hypothetisch generiert wird. Die Media-Einheiten in den einzelnen geografischen Einheiten und Zeiträumen werden proportional zu den Gesamtausgaben skaliert und gemäß dem bisherigen Flighting-Muster auf geografische Einheiten und Zeiträume verteilt.
Meridian-Reaktionskurven zeigen Ihr aktuelles Ausgabenniveau und den Punkt, ab dem zusätzliche Ausgaben auf Channelebene nicht mehr den gleichen Ertrag bringen. Das bietet eine zusätzliche Perspektive, um das Risiko von zu hohen Ausgaben zu verringern. Wenn Sie beispielsweise einen Channel mit hohem ROI haben, die Reaktionskurve aber zeigt, dass er die Sättigungsphase erreicht oder fast erreicht hat (z. B. ein niedriger Grenz-ROI), können Sie einen Teil dieses Budgets auf einen leistungsstarken Channel umverteilen, der diese Phase noch lange nicht erreicht.
Sie müssen vorsichtig sein, wenn Sie Reaktionskurven außerhalb des Bereichs der verfügbaren bisherigen Media-Daten interpretieren. Angenommen, die Media-Ausführung für einen bestimmten Channel ist in verschiedenen geografischen Einheiten und Zeiträumen konstant. In diesem Fall gibt es keine Beobachtungen dazu, was passiert, wenn die Media-Ausführung deutlich über oder unter diesem Wert liegt. Stattdessen basieren solche Rückschlüsse auf der Extrapolation der im verfügbaren Bereich beobachteten Beziehungen über diesen Bereich hinaus.
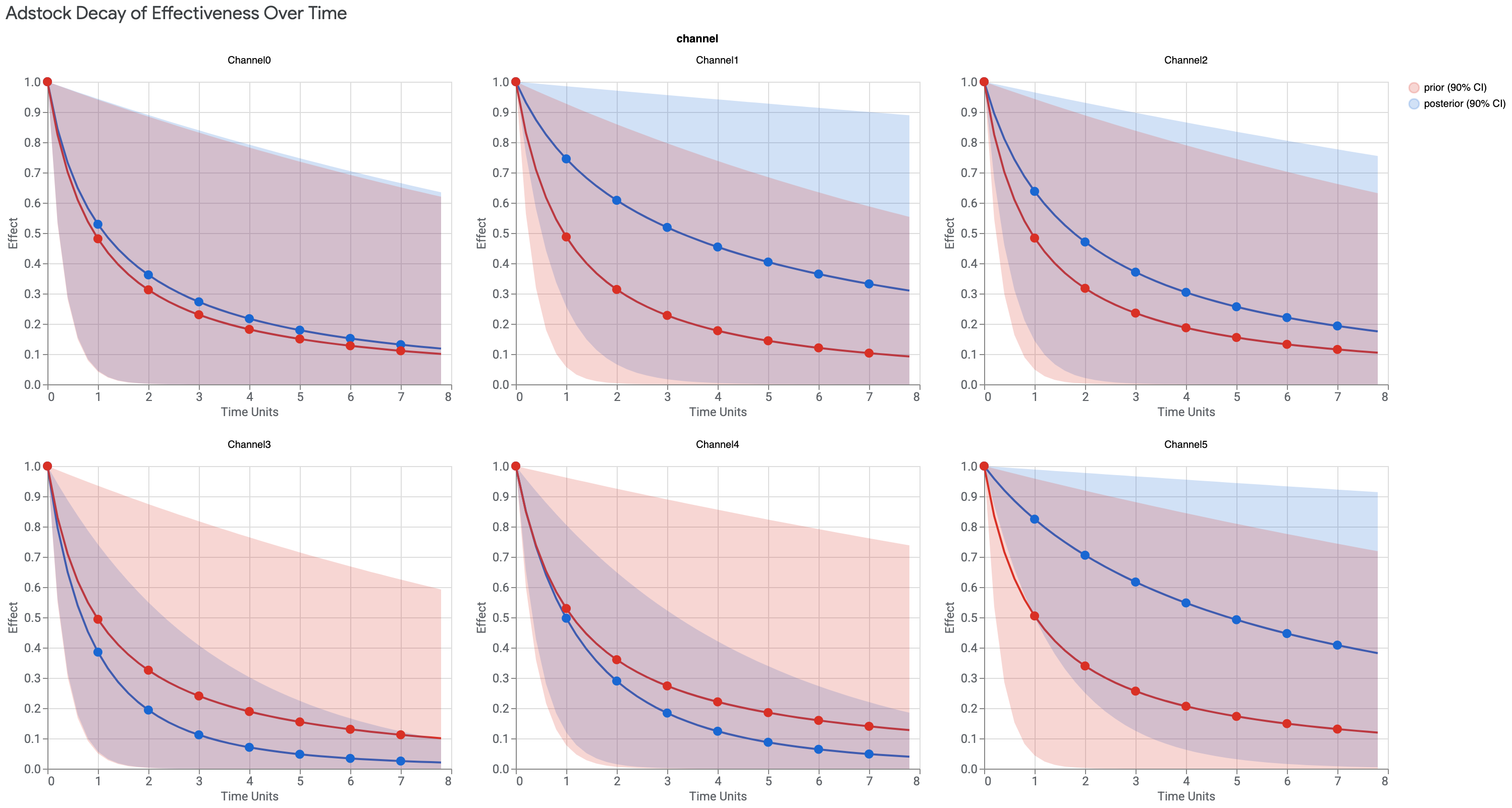
Kurven für den Adstock-Verfall
Sie können den Adstock-Verfall visualisieren. Diese Visualisierung ist nicht in der generierten zweiseitigen HTML-Ausgabe enthalten.
Diese Kurven zeigen die Abklingrate der Media-Effekte, wobei der monotone Adstock-Verfall, den Meridian verwendet, den höchsten Effekt am ersten Tag hat. Wenn der Posterior höher als der Prior ist, dann halten die Effekte der Auslieferung einer Anzeige auf diesem Media-Channel länger an als ursprünglich angenommen.
Beispielausgabe: (Klicken Sie auf das Bild, um es zu vergrößern.)

Bei der Methode für den Adstock-Verfall werden die verzögerten Auswirkungen (Carryover-Effekt) berücksichtigt, also die verzögerte Wirkung von Werbung auf den Umsatz. Nutzer kaufen ein Produkt nicht unbedingt direkt, nachdem sie eine Anzeige gesehen haben, was zu einem verzögerten Effekt führt.
Diese Diagramme können Ihnen helfen,
nachzuvollziehen, wie stark sich die Daten im Vergleich zum Prior auf die Schätzung der übertragenen Effekte von Meridian ausgewirkt haben.
nachzuvollziehen, wie sich die ausgewählte Abklingfunktion (Adstock-Funktion) (geometrisch oder binomial) auf die Schätzung der langfristigen Effekte von Meridian ausgewirkt hat.
zu entscheiden, ob
max_lagerhöht oder verringert werden muss.Annahmen darüber aufzustellen, wie Sie das Budget eines Channels zeitlich und in Bezug auf die Häufigkeit optimal zuweisen können.
Hill-Sättigungskurven
Sie können die Hill-Sättigung visualisieren. Diese Visualisierung ist nicht in der generierten zweiseitigen HTML-Ausgabe enthalten.
Diese Kurven nähern sich 1 an, wenn die Media-Einheiten (oft Impressionen) pro Kopf gegen unendlich gehen, und zeigen den Effekt der Media-Einheiten pro Kopf im Verhältnis zu dieser Asymptote. Mit Hill-Kurven wird die Sättigung (verringerte Effektivität) dargestellt.
Beispielausgabe: (Klicken Sie auf das Bild, um es zu vergrößern.)

Die Hill-Kurve erfasst eine mathematische Beziehung zwischen dem KPI und den durchschnittlichen wöchentlichen Media-Einheiten (häufig Impressionen) pro Kopf. Es wird eine nicht lineare Beziehung angenommen, um Marketingphänomene auf detaillierter Ebene zu erfassen, z. B. wenn Nutzer dieselbe Anzeige wiederholt sehen.
Dieses Diagramm enthält auch das Histogramm der Media-Einheiten (z. B. Impressionen) pro Kopf für alle geografischen Einheiten und Zeiträume. So können Sie auf detaillierter Ebene visualisieren, wie häufig und in welchem Umfang Ihre bisherige Media-Ausführung über- oder untersättigt war. Kleine und große geografische Einheiten sind in diesem Histogramm gleichermaßen vertreten. Es kann sich lohnen, Ihre Rohdaten genauer zu untersuchen, um zu verstehen, was bestimmte Ausreißer oder Muster verursacht.
Das Histogramm kann auch hilfreich sein, um fundierte Entscheidungen darüber zu treffen, wie sehr Sie den Inferenzen an verschiedenen Punkten der Hill-Kurve vertrauen können. Die Hill-Kurve ist eine parametrische Funktion, mit der der Media-Effekt über oder unter dem Bereich geschätzt werden kann, in dem sich die bisherige Media-Ausführung konzentriert. Diese Methode wird auch als Extrapolation bezeichnet. Beispielsweise sind einige Channels immer aktiviert (die Media-Ausführung liegt nie bei null). Daher gibt es keine Daten für die Hill-Kurve bei oder nahe null.
Idealerweise würden Sie Daten anstelle der parametrischen Extrapolation verwenden, um jeden Punkt auf der abnehmenden Reaktionskurve genau darzustellen. Das ist jedoch nicht möglich. Nutzer müssen sich bewusst sein, inwieweit die Ergebnisse auf Schätzungen basieren, und bewerten, wie viel Unsicherheit sie in ihre geschäftlichen Entscheidungen einbeziehen können. Lassen Sie beim Auswerten der Reaktionskurven ähnliche Vorsicht walten.