As visualizações ajudam a interpretar a inferência do modelo e entender a performance dos canais de mídia de acordo com o próprio modelo.
O Meridian oferece várias maneiras de visualizar os resultados:
Gerar um relatório HTML de duas páginas com um período personalizado que pode ser exportado para o Google Drive.
Gerar um resumo dos resultados do modelo para personalizar seus relatórios e visualizações ou exportá-los para outro formato. Esses resumos numéricos das suas métricas de mídia oferecem mais detalhes.
Plotar visualizações de mídia. Com elas, você pode criar gráficos personalizados, alguns não disponíveis no relatório HTML padrão. Por exemplo, é possível criar gráficos de canais específicos, mudar ou excluir o intervalo de credibilidade e adicionar curvas de decaimento de Adstock e de saturação de Hill.
Gráficos de ajuste do modelo
Medem a qualidade estatística do ajuste e são gerados apenas como parte do relatório HTML de duas páginas.
Esses gráficos facilitam a avaliação da performance do modelo e ajudam a determinar se ele tem problemas no ajuste.
Exemplo de saída: (clique na imagem para ampliar)

O gráfico Receita esperada x receita real compara os valores previstos ou esperados da receita (ou do KPI) com os números reais. A linha dourada mostra a receita sem efeitos de mídia. As linhas azul e verde representam a receita esperada e a real, respectivamente. A receita esperada é a média a posteriori. Quanto mais parecidas forem as linhas azul e verde, melhor será o ajuste do modelo.
A tabela Métricas de ajuste do modelo mostra os valores de:
R ao quadrado: mede a variação nos dados que é explicada pelo modelo. Quanto mais próximo de 1, mais preciso é o modelo.
Erro percentual absoluto médio (MAPE): mede a diferença percentual absoluta média entre o valor esperado e o real. Quanto mais próximo de 0, mais preciso é o modelo.
Erro percentual absoluto médio ponderado (WMAPE): essa medição é ponderada pela receita real. O valor ponderado é preferível porque tem menos influência de regiões geográficas e semanas com receita relativamente baixa. Para mais informações, consulte wMAPE.
As estatísticas de ajuste do modelo também ajudam a comparar candidatos. No entanto, a qualidade das métricas de ajuste não explica completamente a adequação do modelo para inferência causal. Na maioria dos casos, o melhor modelo para inferência causal e para previsão são diferentes.
Gráficos de contribuição do canal
Eles ajudam a entender o que gerou a receita.
Exemplo de saída: (clique na imagem para ampliar)

Gráficos de contribuição do valor de referência e de marketing
As medições das contribuições consistem em dois gráficos:
Gráfico de cascata da contribuição: mostra as contribuições de receita ou KPI incremental para cada canal de marketing.
Gráfico de pizza da contribuição (no canto superior direito): mostra a porcentagem total combinada das contribuições dos canais de marketing em relação à porcentagem da contribuição do valor de referência para a receita ou o KPI total esperado.
Use esses gráficos para entender o impacto financeiro geral das suas estratégias e táticas de marketing combinadas em relação ao valor de referência.
O valor de referência mostra o que teria acontecido com sua marca ou linha de produtos sem as contribuições dos canais de marketing. As empresas esperam gerar vendas mesmo sem marketing. A quantidade de vendas varia de acordo com fatores como reconhecimento da marca e padrões de demanda sazonal.
A estimativa da receita ou do KPI de referência coloca as contribuições de mídia em perspectiva e embasa decisões de marketing. Por exemplo, um aumento nas vendas gerais devido a uma contribuição de 12% dos comerciais de TV ajuda a justificar gastos com publicidade e o plano de marketing.
Contribuição de receita e gastos
O gráfico Contribuição de receita e gastos mostra a porcentagem do gasto de mídia e da contribuição de cada canal para a receita incremental total ou o KPI. As barras verdes destacam o retorno do investimento (ROI) dos canais, indicando a eficiência do gasto.
Este gráfico apresenta uma visão geral da performance e do tamanho relativos do canal. É possível receber insights mais detalhados com os gráficos de ROI comum e marginal, além conferir as recomendações das estratégias de alocação no otimizador de orçamentos.
Gráficos de ROI
Ajudam a entender como as atividades de marketing afetaram seus objetivos de negócios. O ROI é definido como resultado incremental por real gasto. O CPIK é definido como custo por resultado incremental. Para mais informações, consulte Definição de resultado incremental.
Nos gráficos, é possível personalizar ou desativar o intervalo de credibilidade e ajustar os tamanhos dos círculos.
Compare o ROI, o ROI marginal, a eficácia e o CPIK em todos os canais para ter uma ideia detalhada e completa da performance deles.
Exemplo de saída: (clique na imagem para ampliar).

ROI por canal: compara essa métrica entre canais.
CPIK por canal: compara o CPIK entre canais.
O gráfico de ROI por canal e o de CPIK por canal podem ser personalizados para mudar ou remover o intervalo de credibilidade padrão.
ROI x eficácia: compara o ROI e a eficácia de cada canal. A eficácia é definida como a receita incremental por unidade de mídia (impressão). Assim como um ROI alto não implica necessariamente alta eficácia, poucos gastos não são sinônimo de baixa eficácia.
ROI comum x ROI marginal: compara o ROI comum e o retorno marginal do investimento (mROI), que é o retorno previsto de uma unidade adicional gasta.
O mROI é um indicador da eficiência do gasto extra. Por exemplo, canais com ROI alto e mROI baixo provavelmente estão em fase de saturação. Então, novos investimentos não geram o mesmo retorno que o gasto inicial. Por outro lado, canais com ROI comum e mROI altos têm uma boa performance, e devem continuar trazendo altos retornos com gastos a mais.
Curvas de resposta
Ajudam a visualizar as relações de causa e efeito entre as atividades de marketing e os resultados comerciais. Ao entender as relações históricas entre as iniciativas de marketing e as vendas usando curvas de resposta, você pode estimar a performance para diferentes níveis de gastos com mídia.
É possível apresentar essas informações de forma personalizada como gráficos independentes, em um único gráfico ou mostrar apenas os canais com gastos maiores, além de ocultar o intervalo de credibilidade.
Exemplo de saída:
São curvas de resposta agregadas de canal, em que o eixo x representa o gasto total em todas as regiões geográficas e períodos usados para treinar o modelo, e o eixo y representa a receita incremental que seria gerada. As unidades de mídia em cada região e período são ajustadas proporcionalmente ao gasto total e alocadas de acordo com o padrão histórico do período de veiculação.
As curvas de resposta do Meridian mostram seu nível de gasto atual e onde começam a surgir retornos decrescentes nos gastos por canal. Isso oferece uma outra perspectiva para diminuir o risco de gastos excessivos. Por exemplo, quando a curva de resposta mostra que um canal com ROI alto está saturado ou próximo disso (como um ROI marginal baixo), realoque parte do orçamento para um canal de alta performance que ainda esteja bem abaixo da saturação.
Seja prudente ao interpretar as curvas de resposta além do intervalo dos dados históricos de mídia disponíveis. Por exemplo, se a execução de mídia de um canal específico está concentrada em um nível específico em diferentes regiões e períodos, não é possível observar o que acontece quando a execução é significativamente maior ou menor. Essas inferências são baseadas na extrapolação das relações observadas dentro do intervalo disponível.
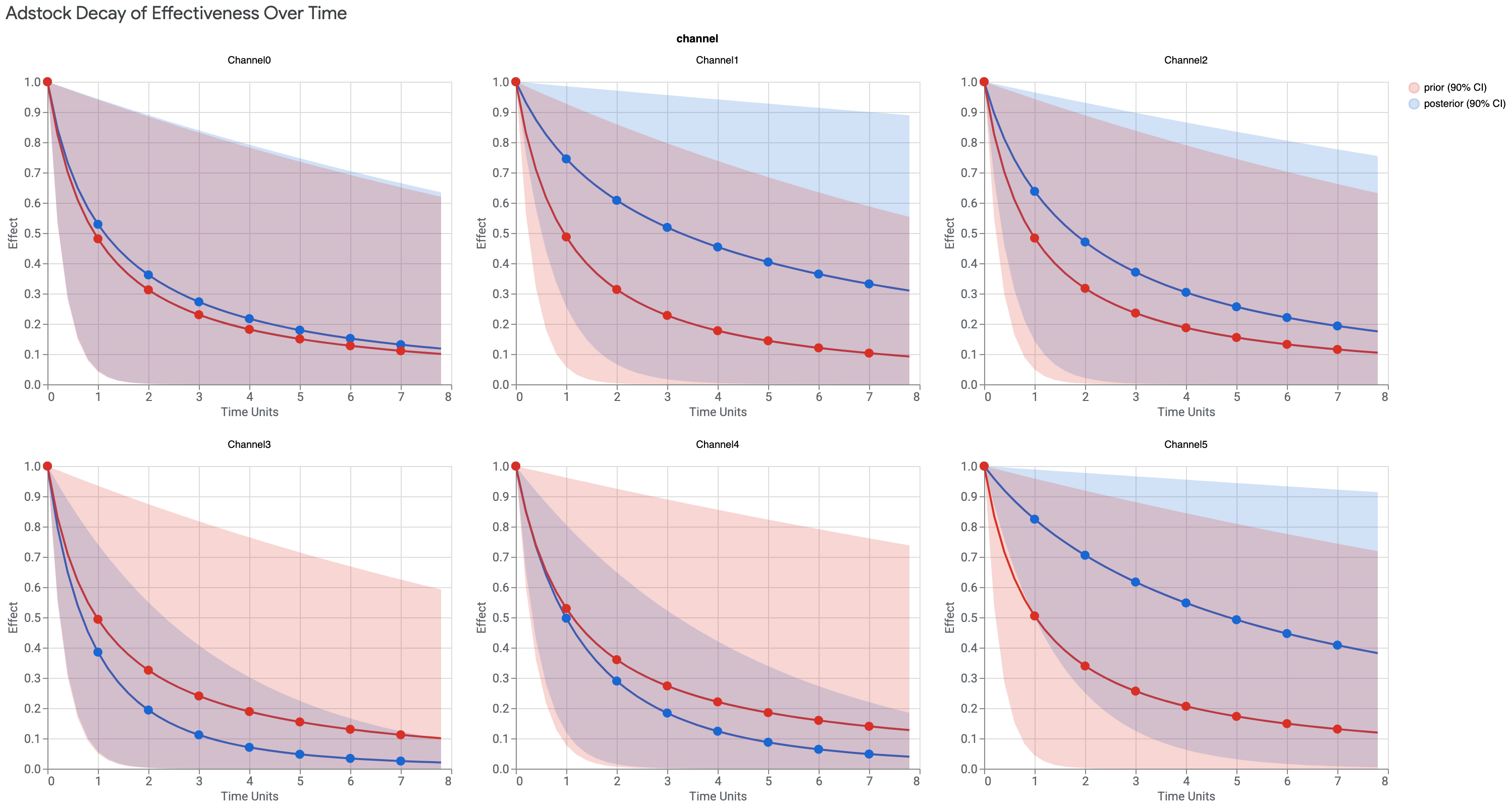
Curvas de decaimento de Adstock
Você pode plotar o decaimento de Adstock para visualização, que não fica disponível no relatório HTML de duas páginas.
Essas curvas mostram a taxa de decaimento dos efeitos de mídia com o decaimento monotônico de Adstock que o Meridian usa, tendo o efeito máximo no primeiro dia. Se a distribuição a posteriori for maior que a distribuição a priori, os efeitos da veiculação do anúncio no canal de mídia vão durar mais do que o esperado.
Exemplo de saída: (clique na imagem para ampliar)

O método de decaimento de Adstock considera o efeito de defasagem (transferência), que é o impacto tardio da publicidade nas vendas. Os consumidores não necessariamente compram o produto logo após ver o anúncio, criando um efeito de defasagem.
Esses gráficos ajudam você a:
entender o impacto dos dados (em relação à distribuição a priori) na estimativa do Meridian sobre os efeitos de transferência;
entender como a função de decaimento de Adstock escolhida (geométrica ou binomial) afetou a estimativa do Meridian sobre o efeito de longo prazo;
determinar se é necessário aumentar ou diminuir o
max_lag;gerar hipóteses para estratégias sobre o momento e a frequência de distribuição dos gastos de um canal ao longo do tempo.
Curvas de saturação de Hill
Você pode plotar a saturação de Hill para visualização, que não fica disponível no relatório HTML de duas páginas.
Essas curvas se aproximam de 1 quando as unidades de mídia (geralmente impressões) per capita tendem ao infinito e mostram o efeito das unidades em relação a essa assíntota. A curva de Hill é usada para mostrar a saturação (eficácia reduzida).
Exemplo de saída: (clique na imagem para ampliar)

A curva de Hill captura uma relação matemática entre o KPI e as unidades de mídia semanais médias (geralmente impressões) per capita. Consideramos uma relação não linear para representar fenômenos de psicologia de marketing em nível granular, como consumidores vendo o mesmo anúncio várias vezes.
Esse gráfico também mostra o histograma de unidades de mídia (como impressões) per capita em todas as regiões geográficas e períodos. Assim, é possível observar em detalhes até que ponto e com que frequência a execução de mídia histórica apresenta alta ou baixa saturação. Vale lembrar que as regiões pequenas e grandes são igualmente representadas nesse histograma. Recomendamos analisar melhor os dados brutos para entender a origem de padrões ou outliers específicos.
O histograma também ajuda a desenvolver um ponto de vista consciente sobre o grau de confiança da inferência em vários pontos da curva. A curva de Hill é uma função paramétrica usada para estimar o efeito da mídia acima ou abaixo do ponto em que a execução histórica de mídia está concentrada (também chamado de extrapolação). Por exemplo, alguns canais estão sempre ativos (a execução de mídia nunca é nula), então a curva não tem dados no zero ou próximo dele.
O ideal seria usar dados, não extrapolação paramétrica, para informar cada ponto na curva de resposta decrescente, mas isso não é possível. O usuário precisa entender o grau de extrapolação inerente aos resultados e determinar um nível aceitável ao tomar decisões para a empresa. Tenha o mesmo critério ao interpretar as curvas de resposta.