可視化データの見方

データの可視化は、モデルの推論を解釈し、メディア チャネルのパフォーマンスをモデルに即して把握するのに役立ちます。

メリディアンでは、次のように、複数の方法でモデルの結果のデータを可視化できます。

  • カスタムの期間を指定して、Google ドライブにエクスポートできる 2 ページの HTML レポートを生成する。

  • モデルの結果の概要を生成して、レポートや可視化データをカスタマイズしたり、別の形式にエクスポートしたりする。こうしたメディア指標の数値の概要から、詳細を確認できます。

  • メディアの可視化データをプロットします。この方法では、カスタマイズしたプロットを作成できます。一部のプロットは、標準の HTML 出力では使用できません。たとえば、特定のチャネルのデータをプロットしたり、信用区間を変更または削除したり、Adstock の減衰や Hill 飽和曲線を追加したりできます。

モデル適合度グラフ

統計的な適合の度合いを測定するモデル適合度グラフは、2 ページの HTML 出力の一部としてのみ生成されます。

こうしたグラフがあると、モデルのパフォーマンスや、モデルが過小適合かどうかを判断しやすくなります。

出力例:画像をクリックして拡大)

model-fit-output

収益の予測値と実測値のグラフは、収益(または KPI)の予測値と実測値を比較したものです。金色の線は、メディアの効果がない場合の収益です。青色の線と緑色の線は、それぞれ収益の予測値と実測値を表します(収益の予測値は事後分布平均です)。青色の線と緑色の線の一致度が高いほど、モデルの適合度は高くなります。

モデルの適合度指標の表には、次のタイプの指標がすべて表示されます。

  • 決定係数: モデルによって説明されるデータの変動量を測定します。値が 1 に近いほど、モデルの精度は高くなります。

  • 平均絶対誤差率(MAPE): 予測値と実測値の平均絶対誤差率を測定します。値が 0 に近いほど、モデルの精度が高いことを意味します。

  • 加重平均絶対パーセント誤差(wMAPE): この測定値は収益の実測値で重み付けされます。重み付けありは、収益が比較的少ない地域および週から受ける影響が少ないため、一般的に重み付けなしよりも優先されます。詳細については、wMAPE をご覧ください。

モデル適合度の統計データは、モデル候補の比較にも役立ちます。ただし、適合度指標から、モデルが因果推論にどの程度適しているかが完全にわかるわけではありません。また、因果推論に最適なモデルが、予測に最適なモデルとは異なる可能性もあります。

チャネル貢献度グラフ

チャネル貢献度グラフは、収益の増加につながった要因を把握するのに役立ちます。

出力例:画像をクリックして拡大)

revenue-contribution

ベースラインとマーケティングの貢献度のグラフ

ベースラインとマーケティングの貢献度の測定値は、次の 2 つのグラフで構成されます。

  • 貢献度のウォーターフォール グラフ: このグラフには、個々のマーケティング チャネルの収益または KPI の増分の貢献度が表示されます。

  • 貢献度の円グラフ: このグラフ(右上)には、収益または KPI の合計予測値に対する、マーケティング チャネルの総貢献度と、ベースラインの貢献度を比較したデータが表示されます。

これらのグラフを参照すると、マーケティング戦略と戦術を組み合わせた場合に得られる経済的な総効果と、ベースラインの効果を比較して把握できます。

ベースラインは、マーケティング チャネルによる貢献がなかったら、ブランドや商品ラインなどに何が起きていたかを示すものです。どのような企業でも、マーケティングを行わなくてもある程度の売り上げは見込めます。それまでのブランド認知度や季節的な需要パターンなどの要因により、ブランドによっては、他社よりも多くの成果が見込める場合もあります。

ベースラインの収益または KPI を推定しておくと、メディアの貢献度を把握して、マーケティングに関する意思決定を的確に行うことができます。たとえば、売り上げ全体が増加した場合に、テレビ広告の貢献度が 12% だったことがわかれば、広告費用とマーケティング計画の正当性を確認しやすくなります。

費用と収益への貢献度

費用と収益への貢献度のグラフには、各チャネルのメディア費用の割合と、収益や KPI の全体的な伸びに対する貢献度が示されます。緑色の棒は、各チャネルの費用効率を示す費用対効果(ROI)を表しています。

このグラフでは、チャネルの相対的な規模とパフォーマンスの概要がわかります。ROI と限界費用対効果(mROI)のグラフから詳細な分析情報を取得したり、予算オプティマイザーから、予算配分の戦略の最適化案を確認したりできます。

ROI グラフ

費用対効果(ROI)グラフは、マーケティング活動によって、ビジネス目標にどのような効果が生じたかを把握するのに役立ちます。ROI は、費用 1 ドルあたりの成果の増分と定義されています。CPIK は、成果の増分あたりの費用と定義されています。詳細については、成果の増分の定義をご覧ください。

これらをグラフに描写する場合は、信用区間のカスタマイズまたは無効化、円のサイズ調整ができます。

ROI、限界費用対効果、有効性、CPIK をチャネル間で比較すると、チャネルのパフォーマンスを包括的に詳しく把握できます。

出力例:画像をクリックして拡大)

roi-charts

  • チャネル別 ROI: チャネル間で ROI を比較します。

  • チャネル別 CPIK: チャネル間で CPIK を比較します。

    [チャネル別 ROI] グラフと [チャネル別 CPIK] グラフはどちらも、デフォルトの信頼区間を変更または削除してカスタマイズできます。

  • ROI と有効性: チャネルごとに ROI と有効性を比較します。有効性は、メディア ユニット(インプレッション)あたりの収益の増分と定義されます。ROI が高くても、有効性も高いとは限りません。逆に費用が低くても、有効性も低いとは限りません。

  • ROI と mROI: ROI と mROI を比較します。mROI は、追加の費用単位あたりの ROI の予測値です。

    mROI は、追加費用の効率を示す指標です。たとえば、ROI は高いものの mROI が低いチャネルは、飽和期にあると考えられます。そのため、追加投資をしても、初期投資と同じような効果が得られるとは限りません。逆に、ROI も mROI も高いチャネルはパフォーマンスが良好であり、追加費用を投下しても高い効果を得られる可能性が高いと言えます。

応答曲線

応答曲線は、マーケティング活動とビジネス成果の因果関係を可視化するために役立ちます。応答曲線から過去のマーケティング活動と売り上げの関係性を把握することで、さまざまなレベルのメディア費用のパフォーマンスを推定できます。

この情報をプロットする際は、カスタマイズして独立したプロットとして表示したり、複数のプロットを 1 つにまとめて表示したり、費用を基準に上位のチャネルのみを表示したりできます。信用区間を非表示にすることもできます。

出力例:

最適化分析グラフ

これは、チャネル単位の集計の応答曲線です。X 軸は、モデルのトレーニングに使用されたすべての地域と期間の合計費用を表し、Y 軸は、想定される収益の増分を示します。各地域と期間のメディア ユニットは、合計費用に比例してスケーリングされ、地域と期間全体での過去のフライティング パターンに即して割り当てられます。

メリディアンの応答曲線には、現在の費用レベルと、チャネルあたりの費用に対するリターンが低下し始めるポイントが表示されます。これにより、予算の無駄が生じるリスクを違う角度から捉えて軽減できます。たとえば、ROI の高いチャネルがあるものの、飽和状態にあるかそれに近いことを応答曲線が示している場合(mROI が低いなど)は、その予算の一部を、まだ飽和状態に達していないパフォーマンスの高いチャネルに再配分することを検討します。

利用可能な過去のメディアデータの範囲を超える応答曲線を解釈する際は、慎重に判断することが重要です。たとえば、特定のチャネルでのメディア施策が、さまざまな地域と期間で特定のレベルに集中しているとします。この場合、メディア施策がそのレベルから大幅に変化した場合にどうなるかについてはデータがありません。代わりに、このような推論は、参照可能な範囲内で観測された関係性を基に、その範囲外の関係性を外挿することで行われます。

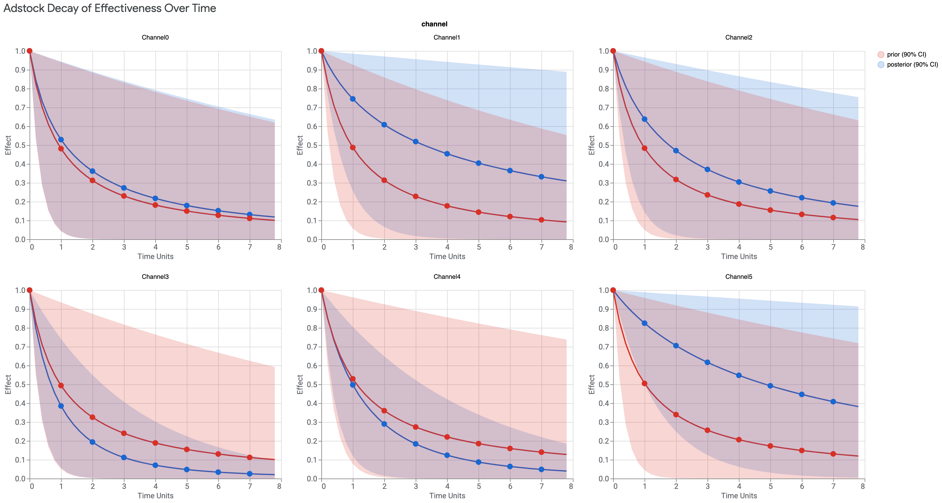
Adstock 減衰曲線

Adstock の減衰をプロットして可視化できます。この可視化データは、生成された 2 ページの HTML 出力には含まれません。

この曲線は、メディア効果の減衰率を示しています。メリディアンで使用される単調な Adstock 減衰率では、1 日目に効果のピークが現れます。事後分布の値が事前分布の値より高い場合は、そのメディア チャネルに広告を掲載する効果は、想定よりも長く持続します。

出力例:画像をクリックして拡大)

Adstock の減衰法では、広告によって遅れて売り上げに現れる効果(持ち越し効果)を考慮します。ユーザーは広告を見た直後に商品を購入するとは限らないため、効果が遅れて現れるケースもあります。

このグラフは、次のような場合に役立ちます。

  • メリディアンのキャリーオーバー効果の推定値に、データが(事前分布と比較して)どの程度影響したかを把握する

  • 選択した Adstock 減衰関数(幾何級数的減衰と二項減衰)が、メリディアンの長期的な効果の推定値にどのように影響したかを把握する

  • max_lag を増やすまたは減らす必要があるかどうかを判断する

  • 期間全体でチャネルの費用をいつ、どのくらいの頻度で配分するかについて、戦略の仮説を立てる

Hill 飽和曲線

Hill 飽和状態をプロットし、可視化できます。この可視化データは、生成された 2 ページの HTML 出力には含まれません。

この曲線は、1 人あたりのメディア ユニット(通常はインプレッション)が無限大に近づくにつれて 1 に漸近し、その漸近線を基準とした 1 人あたりのメディア ユニットの効果を示します。Hill 曲線は、飽和状態(有効性の低下)を示します。

出力例:画像をクリックして拡大)

Hill 曲線は、KPI と、1 人あたりの平均週間メディア ユニット(通常はインプレッション)との数学的な関係性を表します。関係性が非線形の場合は、ユーザーが同じ広告を繰り返し目にしているなど、詳細レベルのマーケティング心理学現象が現れていると考えられます。

このグラフには、すべての地域と期間における 1 人あたりのメディア ユニット(インプレッションなど)のヒストグラムも表示されます。これにより、過去のメディア施策がどのくらいの頻度でどの程度、飽和状態になっていたか(またはなっていなかったか)を詳細に可視化できます。このヒストグラムでは、小規模な地域と大規模な地域が同等に表されます。特定の外れ値やパターンの原因を把握するため、元データを詳しく調べることをおすすめします。

ヒストグラムは、Hill 曲線のさまざまなポイントでの推論の信頼度について、十分な情報に基づいて判断する一助にもなります。Hill 曲線は、過去のメディア マーケティングの中心範囲を超えた範囲でのメディア効果を推定(外挿とも呼ばれます)するために使用するパラメータ関数です。たとえば、施策が常にあるチャネルの場合(メディア施策が 0 の状態がないチャネルの場合)は、0 または 0 付近の Hill 曲線のデータはありません。

パラメータによる外挿ではなく、実際のデータを使用して、減少する応答曲線上のすべてのポイントを補完できれば理想的ですが、それは不可能です。結果に内在する外挿の程度を把握し、ビジネス上の意思決定を下す際の許容レベルを判断するためには、ユーザー自身の裁量が求められます。応答曲線を解釈する際も、同様の裁量で判断してください。