Estudo comparativo de WebP, JPEG e JPEG 2000, setembro de 2010
Observação:realizamos esse estudo inicial com a primeira versão do WebP
lançada, que usava a biblioteca libvpx. Além disso, as imagens de origem
eram JPEGs que pesquisamos na Web. Com base no feedback da
comunidade, realizamos um
novo estudo com a versão 0.1.2 do libwebp,
começando com imagens sem perdas (PNG) como fonte. O novo estudo substitui este
estudo.
A equipe do WebP realizou um estudo comparativo de três métodos de compactação de imagens em um conjunto aleatório de 1 milhão de imagens. O objetivo do estudo era medir a compactação alcançada por esses métodos e analisar as compensações entre tamanhos de imagem e compactação.
Três métodos de compactação, WebP, JPEG 2000 e Re-JPEG, foram aplicados às 900.000 imagens JPEG contidas no conjunto de dados. As imagens JPEG foram compactadas novamente com Re-JPEG para que cada uma ficasse o mais próximo possível de um valor de razão de ruído de sinal (PSNR) de pico desejado. A análise da equipe foi feita nas imagens depois que elas foram compactadas.
Além do estudo em grande escala, a equipe inspecionou manualmente 100 imagens aleatórias e descobriu que, na maioria dos casos, o WebP oferece uma qualidade visual aceitável.
Conclusões
O WebP alcança uma compactação geral maior do que o JPEG ou o JPEG 2000. Os ganhos na minimização do tamanho do arquivo são particularmente altos para imagens menores, que são as mais comuns na Web.
Conjunto de dados
O conjunto de dados usado no estudo foi uma coleção de 1 milhão de imagens amostradas aleatoriamente de um repositório de imagens rastreadas na Web. A tabela a seguir mostra a distribuição de diferentes tipos de imagens no conjunto de dados.
| Tipo | Contagem |
|---|---|
| JPEG | ~900K |
| PNG | ~47 mil |
| GIF | ~47 mil |
| Outro | ~6 mil |
Design do experimento
Os experimentos foram realizados em duas etapas:
A equipe executou o WebP nas imagens com um PSNR de destino de 42. Eles ajustaram o parâmetro de qualidade (QP) para o codificador WebP até conseguirem um resultado o mais próximo possível de 42 para uma determinada imagem. O PSNR real atingido para cada imagem, portanto, não era necessariamente exatamente 42.
A equipe usou o valor PSNR das imagens compactadas por WebP como o PSNR alvo para as imagens JPEG 2000 e Re-JPEG. Eles também realizaram uma pesquisa de linha sobre os parâmetros de qualidade das imagens JPEG 2000 e JPEG para chegar o mais próximo possível do PSNR desejado.
O resultado real da compactação foi medido como uma porcentagem usando a seguinte fórmula:
compression_percentage = 100 * (original_image.length - compressed_image.length) / original_image.length
Resultados
Os testes geraram os seguintes resultados para ganho de compressão negativo e não negativo:
Ganho de compressão não negativo
A equipe não penalizou um método se ele aumentasse o tamanho da imagem após a compactação. Ou seja, a compression_percentage foi considerada 0 quando compressed_image.length era maior que original_image.length.
Ganho de compressão negativo
A equipe permitiu resultados de porcentagem de compactação negativos para entender melhor a performance bruta dos vários compressores.
Confira a seguir as porcentagens médias de compactação alcançadas por cada um dos três métodos.
| Tipo | PSNR médio obtido | % de compactação média (ganho de compactação não negativo) |
% de compactação média (ganho de compactação negativo) |
|---|---|---|---|
| WebP | 39,38 | 41,30 | 39,80 |
| JPEG 2000 | 39,49 | 27,67 | 9,71 |
| Re-JPEG | 39,36 | 22,37 | 14,62 |
Quando o ganho de compactação negativo foi permitido, a performance média do JPEG 2000 foi menor do que a do JPEG. Isso pode ser devido a artefatos de alta frequência presentes nas imagens JPEG. Esses artefatos podem contribuir para uma situação de compactação não ideal.
A implementação do Kakadu usada no experimento para converter para JPEG 2000 não conseguiu converter aproximadamente 240.000 imagens.
O JPEG 2000 tinha porcentagens de compactação mais baixas do que o Re-JPEG, principalmente porque o resultado do JPEG 2000 era uma compactação negativa para muitas imagens. Por esse motivo, as imagens JPEG alcançaram uma pontuação de compactação geral mais baixa.
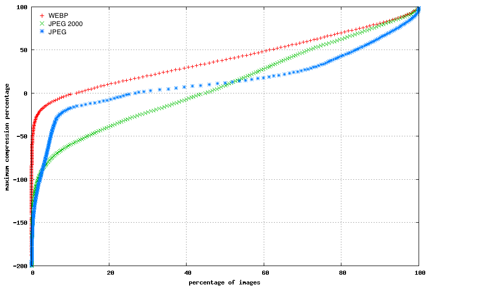
As figuras a seguir mostram gráficos de distribuição para os três métodos:
Figura 1: distribuição da população de tamanhos de imagem
O gráfico mostra que a maioria das imagens era pequena. A frequência das imagens com tamanho superior a 500 mil geralmente é menor que 100.
Figura 2: porcentagens de compactação para imagens WebP, JPEG e JPEG 2000
Este gráfico demonstra que o corpo de imagens compactado com WebP teve melhor compactação do que re-jpeg e jpeg 2000. Além disso, as imagens compactadas com WebP tiveram uma compactação mais positiva do que as outras.
Figura 3: comparação dos tamanhos de imagem e da porcentagem de compactação
Este gráfico mostra que o WebP alcança uma compactação melhor do que os outros formatos, principalmente para imagens menores.