WebP, JPEG, JPEG 2000 비교 연구, 2010년 9월
참고: 이 초기 연구는 libvpx 라이브러리를 사용한 WebP의 첫 번째 버전으로 진행되었습니다. 또한 소스 이미지는 웹에서 크롤링한 JPEG 이미지였습니다. 커뮤니티의 의견을 바탕으로 이제 무손실 이미지 (PNG)를 소스로 시작하여 libwebp 버전 0.1.2를 사용한 새로운 연구를 시작했습니다. 이 연구는 새로운 연구에 따라 대체됩니다.
WebP팀은 무작위로 선택한 100만 개의 이미지에 대해 세 가지 이미지 압축 방법을 비교 연구했습니다. 이 연구의 목표는 이러한 방법으로 달성된 압축을 측정하고 이미지 크기와 압축 간의 절충점을 분석하는 것이었습니다.
WebP, JPEG 2000, Re-JPEG라는 세 가지 압축 방법이 데이터 세트에 포함된 90만 개의 JPEG 이미지에 적용되었습니다. JPEG 이미지는 Re-JPEG로 다시 압축하여 각 이미지가 타겟 최대 신호 대 노이즈 비율 (PSNR) 값에 최대한 근접하도록 했습니다. 팀은 압축된 이미지를 대상으로 분석을 진행했습니다.
대규모 연구 외에도 팀은 무작위로 선택한 100개의 이미지를 수동으로 검사한 결과, 대부분의 경우 WebP가 허용 가능한 시각적 품질을 제공하는 것으로 확인되었습니다.
결론
WebP는 JPEG 또는 JPEG 2000보다 전반적으로 더 높은 압축률을 달성합니다. 파일 크기 최소화의 이점은 웹에서 가장 흔히 볼 수 있는 소형 이미지에 특히 큽니다.
데이터 세트
이 연구에 사용된 데이터 세트는 웹에서 크롤링한 이미지 저장소에서 무작위로 샘플링한 100만 개의 이미지 모음입니다. 다음 표는 데이터 세트의 다양한 이미지 유형 분포를 보여줍니다.
| 유형 | 개수 |
|---|---|
| JPEG | ~90만 |
| PNG | ~4.7만 |
| GIF | ~47,000 |
| 기타 | ~6,000 |
실험 설계
실험은 두 단계로 진행되었습니다.
팀은 타겟 PSNR이 42인 이미지에서 WebP를 실행했습니다. Google은 특정 이미지에서 최대한 42에 가까운 결과를 얻을 때까지 WebP 인코더의 품질 매개변수 (QP)를 조정했습니다. 따라서 각 이미지에서 달성된 실제 PSNR은 꼭 42가 아닐 수 있습니다.
팀은 WebP 압축 이미지의 PSNR 값을 JPEG 2000 및 Re-JPEG 이미지의 타겟 PSNR로 사용했습니다. 또한 타겟 PSNR에 최대한 근접하기 위해 JPEG 2000 및 JPEG 이미지의 품질 매개변수에 대해 선 검색을 실행했습니다.
실제 압축 결과는 다음 수식을 사용하여 비율로 측정되었습니다.
compression_percentage = 100 * (original_image.length - compressed_image.length) / original_image.length
결과
테스트 결과 음수 및 비음수 압축 이득에 대해 다음과 같은 결과가 나왔습니다.
비음수 압축 이득
팀은 압축 후 이미지 크기가 증가하는 메서드에 페널티를 적용하지 않았습니다. 즉, compressed_image.length가 original_image.length보다 클 때 compression_percentage가 0으로 간주되었습니다.
음수 압축 이득
팀은 다양한 압축기의 원시 성능을 더 잘 이해하기 위해 음수 압축 비율 결과를 허용했습니다.
다음은 세 가지 방법으로 얻은 평균 압축 비율입니다.
| 유형 | Avg PSNR Obtained(획득된 평균 PSNR) | 평균 압축 비율 (0보다 큰 압축 이득) |
평균 압축 비율 (음수 압축 이득) |
|---|---|---|---|
| WebP | 39.38 | 41.30 | 39.80 |
| JPEG 2000 | 39.49 | 27.67 | 9.71 |
| Re-JPEG | 39.36 | 22.37 | 14.62 |
음수 압축 이득이 허용되면 JPEG 2000의 평균 성능이 JPEG보다 낮았습니다. 이는 JPEG 이미지에 고주파 아티팩트가 있기 때문일 수 있습니다. 이러한 아티팩트는 이상적이지 않은 압축 상황에 기여할 수 있습니다.
JPEG 2000으로 변환하기 위한 실험에 사용된 Kakadu 구현은 약 240,000개의 이미지를 변환하지 못했습니다.
JPEG 2000의 압축률은 Re-JPEG보다 낮았습니다. 주로 JPEG 2000 결과가 많은 이미지에서 음수 압축이었기 때문입니다. 이 때문에 JPEG 이미지의 전반적인 압축 점수가 더 낮았습니다.
다음 그림은 세 가지 방법의 분포 그래프를 보여줍니다.
그림 1: 이미지 크기 인구 분포
그래프에 따르면 대부분의 이미지가 작았습니다. 크기가 50만을 초과하는 이미지의 빈도는 일반적으로 100개 미만입니다.
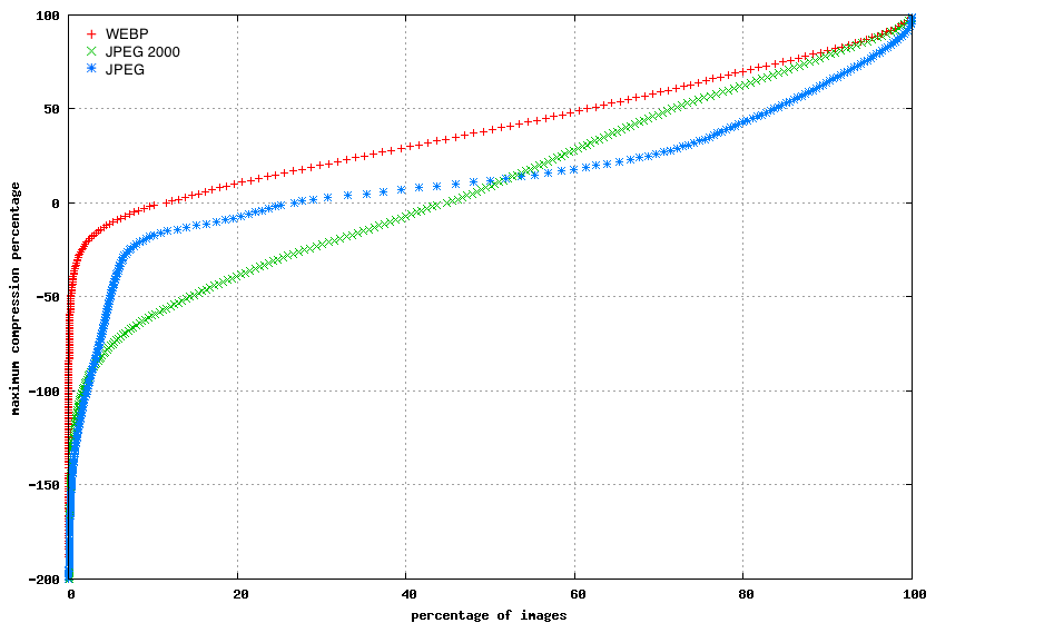
그림 2: WebP, JPEG, JPEG 2000 이미지의 압축 비율
이 그래프는 WebP로 압축된 사진 본문이 re-jpeg 및 jpeg 2000보다 더 나은 압축을 얻었음을 보여줍니다. 또한 WebP로 압축된 사진은 다른 사진보다 압축률이 더 높았습니다.
그림 3: 이미지 크기 및 압축 비율 비교
이 그래프는 WebP가 특히 작은 이미지에서 다른 형식보다 더 나은 압축을 달성함을 보여줍니다.