WebP、JPEG、JPEG 2000 の比較研究(2010 年 9 月)
注: この最初の調査は、libvpx ライブラリを使用した WebP の最初のバージョンで実施しました。また、ソース画像はウェブからクロールした JPEG 画像でした。コミュニティからのフィードバックに基づき、Google は libwebp バージョン 0.1.2 で新しい調査を開始しました。まず、ロスレス画像(PNG)をソースとして使用します。新しい研究がこの研究に代わるものです。
WebP チームは、100 万枚の画像のランダムなセットで、3 つの画像圧縮方法の比較研究を行いました。この研究の目的は、これらの方法で達成される圧縮を測定し、画像サイズと圧縮のトレードオフを分析することです。
データセットに含まれる 90 万個の JPEG 画像に、WebP、JPEG 2000、Re-JPEG の 3 つの圧縮方法が適用されました。JPEG 画像は Re-JPEG で再圧縮され、各画像が目標のピーク信号対雑音比(PSNR)値にできるだけ近づけられました。チームの分析は、圧縮後の画像に対して行われました。
大規模な調査に加えて、チームは 100 枚のランダムな画像を手動で検査し、ほとんどの場合、WebP で許容できる画質が得られることを明らかにしました。
まとめ
WebP は、JPEG や JPEG 2000 よりも全体的な圧縮率が高くなります。ファイルサイズの最小化によるメリットは、ウェブ上で最も一般的な小さい画像で特に大きくなります。
データセット
この研究で使用したデータセットは、ウェブからクロールされた画像のリポジトリからランダムにサンプリングされた 100 万枚の画像のコレクションです。次の表に、データセット内のさまざまなタイプの画像の分布を示します。
| タイプ | カウント |
|---|---|
| JPEG | ~ 90 万 |
| PNG | 約 47,000 |
| GIF | 47,000 人 |
| その他 | ~ 6,000 |
テストの設計
テストは次の 2 つの段階で実施されました。
チームは、ターゲット PSNR が 42 の画像に対して WebP を実行しました。特定の画像で 42 にできるだけ近い結果が得られるまで、WebP エンコーダの品質パラメータ(QP)を調整しました。したがって、各画像で達成された実際の PSNR は、必ずしも 42 とは限りません。
チームは、WebP 圧縮画像の PSNR 値を、JPEG 2000 画像と Re-JPEG 画像のターゲット PSNR として使用しました。また、ターゲット PSNR にできるだけ近づけるため、JPEG 2000 画像と JPEG 画像の品質パラメータに対して線検索を実施しました。
実際の圧縮結果は、次の式を使用して割合で測定されました。
compression_percentage = 100 * (original_image.length - compressed_image.length) / original_image.length
結果
テストでは、負の圧縮率と正の圧縮率について、次の結果が得られました。
非負の圧縮率の増加
圧縮後に画像サイズが増加した方法に対しては、ペナルティは適用されませんでした。つまり、compressed_image.length が original_image.length より大きい場合、compression_percentage は 0 と見なされました。
圧縮のマイナス ゲイン
チームは、さまざまな圧縮ツールの元のパフォーマンスをより深く理解するために、圧縮率がマイナスになる結果を許可しました。
以下は、3 つの方法で達成された平均圧縮率です。
| タイプ | Avg PSNR Obtained(取得された平均 PSNR) | 平均圧縮率(%) (非負の圧縮率) |
平均圧縮率(%) (圧縮率の低下) |
|---|---|---|---|
| WebP | 39.38 | 41.30 | 39.80 |
| JPEG 2000 | 39.49 | 27.67 | 9.71 |
| Re-JPEG | 39.36 | 22.37 | 14.62 |
圧縮率の低下が許容された場合、JPEG 2000 の平均パフォーマンスは JPEG よりも低くなりました。これは、JPEG 画像に高周波アーティファクトが存在している可能性があります。これらのアーティファクトは、理想的でない圧縮状況につながる可能性があります。
JPEG 2000 への変換テストで使用された Kakadu 実装では、約 24 万枚の画像が変換されませんでした。
JPEG 2000 の圧縮率は Re-JPEG よりも低くなっています。これは、多くの画像で JPEG 2000 の結果が圧縮率がマイナスだったことが主な原因です。このため、JPEG 画像の総合圧縮スコアは低くなっています。
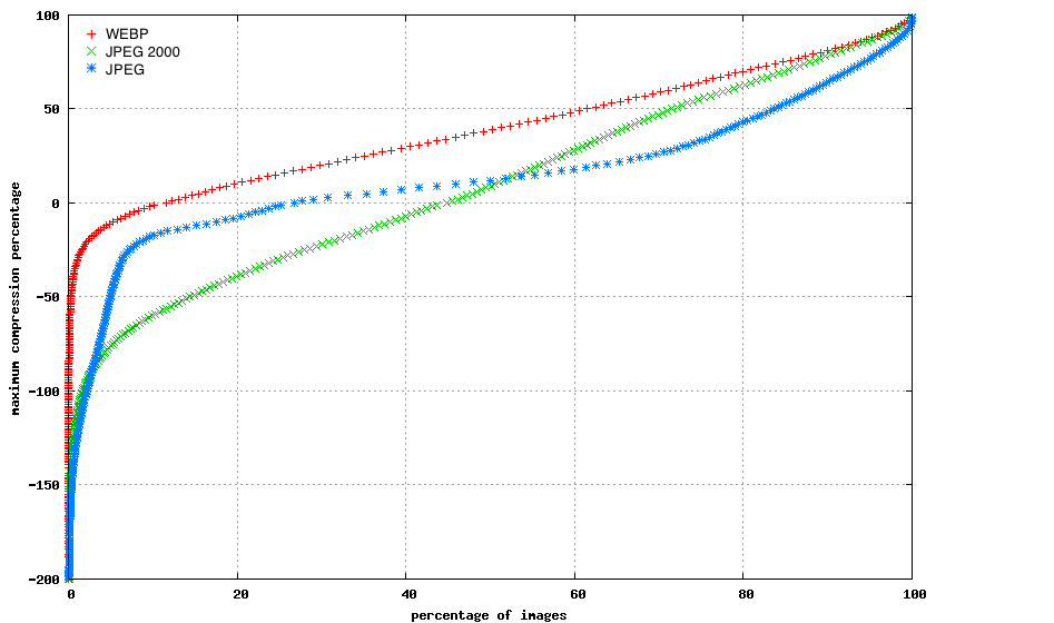
次の図は、3 つの方法の分布グラフを示しています。
図 1: 画像サイズの分布
グラフは、ほとんどの画像が小さかったことを示しています。サイズが 50 万を超える画像の頻度は通常 100 未満です。
図 2: WebP、JPEG、JPEG 2000 画像の圧縮率
このグラフは、WebP で圧縮された画像の本文が、re-jpeg や jpeg 2000 よりも圧縮率が高いことを示しています。また、WebP で圧縮された画像は、他の画像よりも圧縮率が高くなっています。
図 3: 画像サイズと圧縮率の比較
このグラフは、特に小さい画像の場合、WebP が他の形式よりも優れた圧縮率を達成していることを示しています。