Studi komparatif WebP, JPEG, dan JPEG 2000, September 2010
Catatan: Kami telah melakukan studi awal ini dengan versi pertama WebP
yang kami rilis, yang menggunakan library libvpx. Selain itu, gambar
sumber adalah gambar JPEG yang kami crawl dari Web. Berdasarkan masukan dari
komunitas, kini kami telah melakukan
studi baru dengan libwebp versi 0.1.2
mulai dari gambar lossless (PNG) sebagai sumber. Studi baru menggantikan studi
ini.
Tim WebP melakukan studi komparatif terhadap tiga metode kompresi gambar di atas kumpulan acak sebanyak 1 juta gambar. Sasaran studi ini adalah untuk mengukur kompresi yang dicapai oleh metode tersebut dan menganalisis kompromi antara ukuran gambar dan kompresi.
Tiga metode kompresi, WebP, JPEG 2000, dan Re-JPEG,diterapkan ke 900.000 gambar JPEG yang terdapat dalam set data. Gambar JPEG dikompresi ulang dengan Re-JPEG sehingga setiap gambar sedekat mungkin dengan nilai rasio sinyal-derau puncak (PSNR) target. Analisis tim dilakukan pada gambar setelah dikompresi.
Selain studi skala besar, tim memeriksa 100 gambar acak secara manual dan menemukan bahwa, dalam sebagian besar kasus, WebP memberikan kualitas visual yang dapat diterima.
Kesimpulan
WebP secara keseluruhan mencapai kompresi yang lebih tinggi daripada JPEG atau JPEG 2000. Penghematan dalam pengoptimalan ukuran file sangat tinggi untuk gambar yang lebih kecil, yang paling umum ditemukan di web.
Kumpulan Data
Set data yang digunakan dalam studi ini adalah kumpulan 1 juta gambar yang diambil sampelnya secara acak dari repositori gambar yang di-crawl dari web. Tabel berikut menampilkan distribusi berbagai jenis gambar dalam set data.
| Jenis | Jumlah |
|---|---|
| JPEG | ~900K |
| PNG | ~47 ribu |
| GIF | ~47 ribu |
| Lainnya | ~6 RB |
Desain Eksperimen
Eksperimen dijalankan dalam dua tahap:
Tim menjalankan WebP pada gambar dengan target PSNR 42. Mereka menyesuaikan parameter kualitas (QP) untuk encoder WebP hingga mereka mendapatkan hasil yang mendekati 42 untuk gambar tertentu. Oleh karena itu, PSNR sebenarnya yang dicapai untuk setiap gambar tidak harus persis 42.
Tim menggunakan nilai PSNR untuk gambar yang dikompresi WebP sebagai target PSNR untuk gambar JPEG 2000 dan Re-JPEG. Mereka juga melakukan penelusuran baris pada parameter kualitas gambar JPEG 2000 dan JPEG untuk mendekati PSNR target sebanyak mungkin.
Hasil kompresi yang sebenarnya diukur sebagai persentase menggunakan formula berikut:
compression_percentage = 100 * (original_image.length - compressed_image.length) / original_image.length
Hasil
Pengujian menghasilkan hasil berikut untuk penghematan kompresi negatif dan non-negatif:
Penghematan Kompresi Non-negatif
Tim tidak menghukum metode jika metode tersebut meningkatkan ukuran gambar setelah kompresi. Artinya, compression_percentage dianggap 0 saat compressed_image.length lebih besar dari original_image.length.
Pengurangan Kompresi Negatif
Tim mengizinkan hasil persentase kompresi negatif untuk mendapatkan pemahaman yang lebih baik tentang berbagai performa mentah kompresor.
Berikut adalah persentase kompresi rata-rata yang dicapai oleh setiap tiga metode.
| Jenis | PSNR Rata-Rata yang Diperoleh | Kompresi Rata2 % (peningkatan kompresi non-negatif) |
Kompresi Rata2 % (peningkatan kompresi negatif) |
|---|---|---|---|
| WebP | 39,38 | 41,30 | 39,80 |
| JPEG 2000 | 39,49 | 27,67 | 9,71 |
| Re-JPEG | 39,36 | 22,37 | 14,62 |
Jika keuntungan kompresi negatif diizinkan, performa rata-rata untuk JPEG 2000 lebih rendah daripada JPEG. Hal ini mungkin disebabkan oleh artefak frekuensi tinggi yang ada dalam gambar JPEG; artefak ini dapat berkontribusi pada situasi kompresi yang kurang ideal.
Implementasi Kakadu yang digunakan dalam eksperimen untuk mengonversi ke JPEG 2000 gagal mengonversi sekitar 240.000 gambar.
JPEG 2000 memiliki persentase kompresi yang lebih rendah daripada Re-JPEG, terutama karena hasil JPEG 2000 adalah kompresi negatif untuk banyak gambar. Oleh karena itu, gambar JPEG memperoleh skor kompresi keseluruhan yang lebih rendah.
Gambar berikut memberikan grafik distribusi untuk ketiga metode tersebut:
Gambar 1: Distribusi Populasi Ukuran Gambar
Grafik menunjukkan bahwa sebagian besar gambar berukuran kecil. Frekuensi gambar dengan ukuran lebih dari 500 ribu umumnya kurang dari 100.
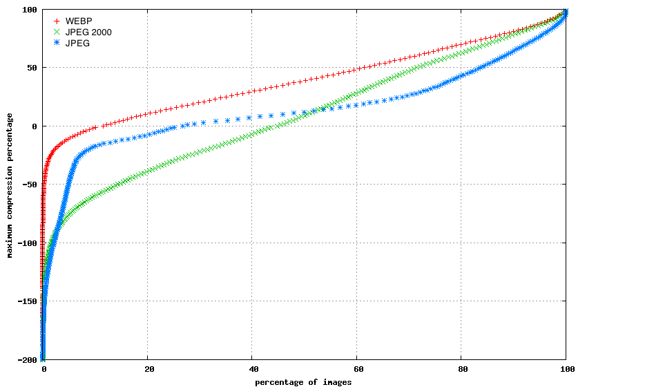
Gambar 2: Persentase Kompresi untuk Gambar WebP, JPEG, dan JPEG 2000
Grafik ini menunjukkan bahwa isi gambar yang dikompresi dengan WebP mendapatkan kompresi yang lebih baik daripada re-jpeg dan jpeg 2000. Selain itu, gambar yang dikompresi dengan WebP mendapatkan kompresi yang lebih positif daripada yang lain.
Gambar 3: Perbandingan Ukuran Gambar dan Persentase Kompresi
Grafik ini menunjukkan bahwa WebP mencapai kompresi yang lebih baik daripada format lainnya, terutama untuk gambar yang lebih kecil.